Fig. 9

Download original image
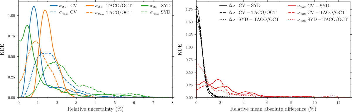
Comparison of uncertainties and differences for the global asteroseismic parameters. Left: kernel density estimators (KDEs) of the relative internal uncertainty on ∆ν (full lines) and νmax (dashed lines) from the different methods (see legend). Right: KDEs of the relative mean absolute differences between ∆ν and νmax values from each pair of methods (see legend).
Current usage metrics show cumulative count of Article Views (full-text article views including HTML views, PDF and ePub downloads, according to the available data) and Abstracts Views on Vision4Press platform.
Data correspond to usage on the plateform after 2015. The current usage metrics is available 48-96 hours after online publication and is updated daily on week days.
Initial download of the metrics may take a while.