Open Access
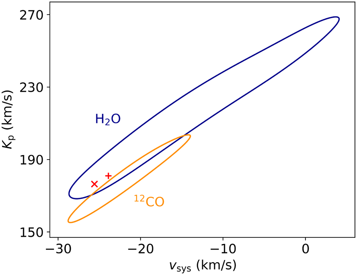
Fig. 8

Download original image
One-sigma regions of 12CO and H2O detections. The position of the 12CO signal is inconsistent, that of the H2O signal is consistent with the expected Kp and υsys values, whose location is indicated by the red symbols (“+”: Hellier et al. 2019; “×”: Rodríguez Martínez et al. 2020).
Current usage metrics show cumulative count of Article Views (full-text article views including HTML views, PDF and ePub downloads, according to the available data) and Abstracts Views on Vision4Press platform.
Data correspond to usage on the plateform after 2015. The current usage metrics is available 48-96 hours after online publication and is updated daily on week days.
Initial download of the metrics may take a while.