Open Access
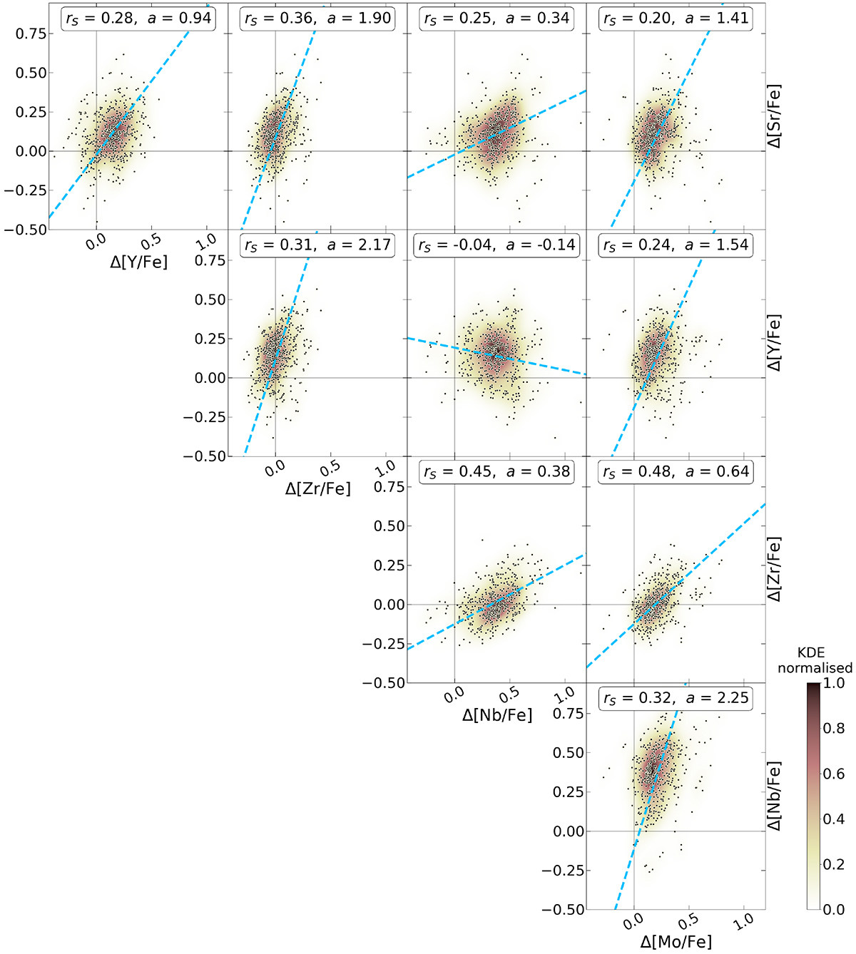
Fig. 8.

Download original image
Subset of Peak 1 residual plots (Δ [P1/Fe] vs Δ [P1/Fe] that contain the elements Sr, Y, Zr, Nb, and Mo. The colouring corresponds to the 2D KDE of the 533 points shown. The linear fit was performed with ODR.
Current usage metrics show cumulative count of Article Views (full-text article views including HTML views, PDF and ePub downloads, according to the available data) and Abstracts Views on Vision4Press platform.
Data correspond to usage on the plateform after 2015. The current usage metrics is available 48-96 hours after online publication and is updated daily on week days.
Initial download of the metrics may take a while.