Fig. 7

Download original image
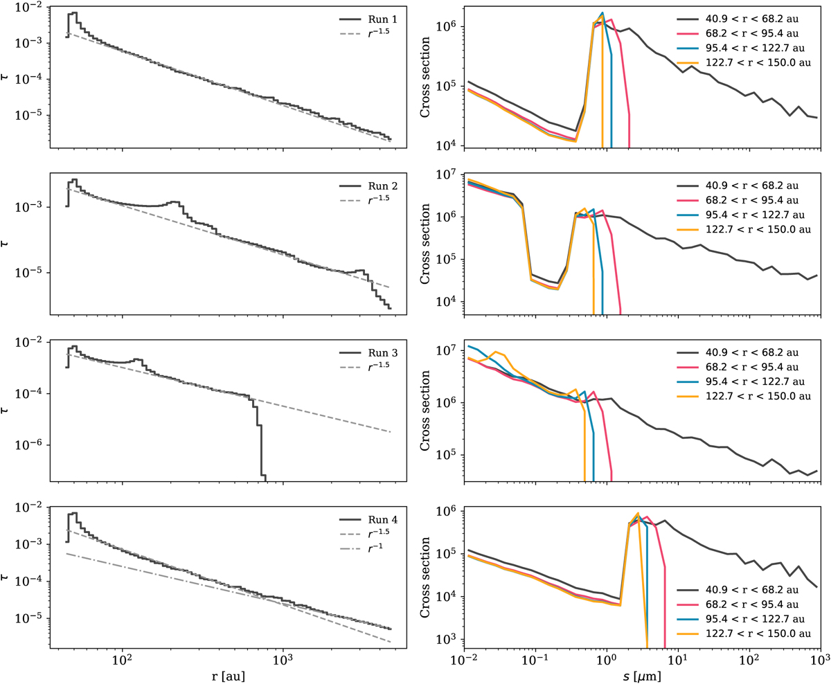
Diagnostics for Runs 1 to 4, shown from top to bottom, respectively. Left: optical depth profile as a function of stellocentric distance. The dashed line shows a profile in r−15. For the bottom panel, the dashed-dotted line follows a profile in r−1. Right: cross-section as a function of grain size s. The different colors show the cross-section measured in several concentric rings.
Current usage metrics show cumulative count of Article Views (full-text article views including HTML views, PDF and ePub downloads, according to the available data) and Abstracts Views on Vision4Press platform.
Data correspond to usage on the plateform after 2015. The current usage metrics is available 48-96 hours after online publication and is updated daily on week days.
Initial download of the metrics may take a while.