Fig. 4.

Download original image
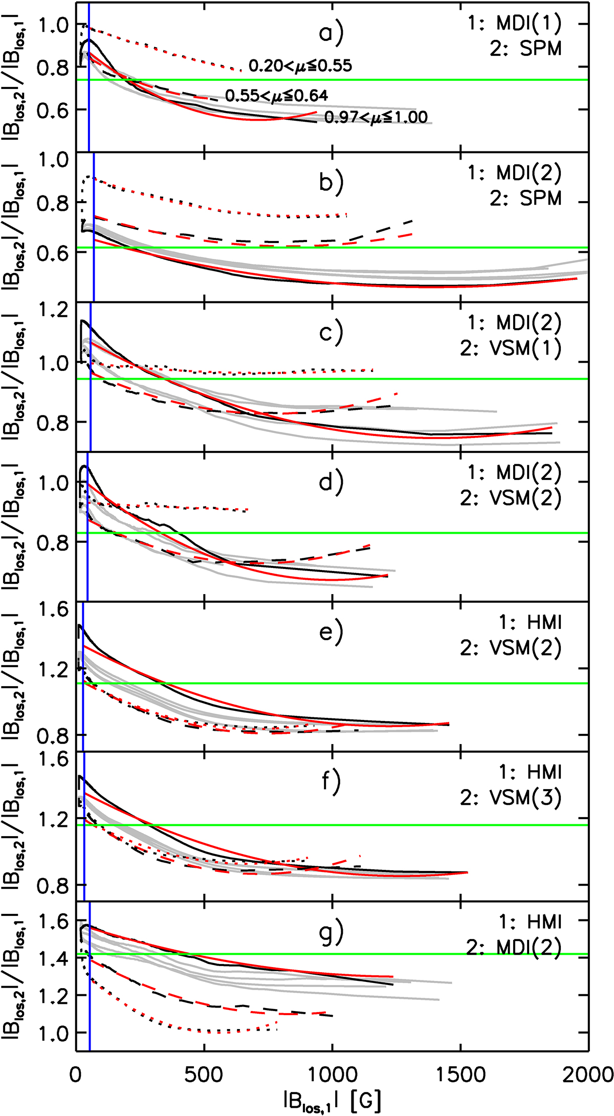
The conversion factor between the various magnetographs. a) Black: the MDI(1)-to-SPM conversion factor as a function of the MDI(1) magnetogram signal, |Blos, MDI(1)| at 0.97 < μ ≤ 1.00 (solid curves), 0.55 < μ ≤ 0.64 (dashed curves), and 0.20 < μ ≤ 0.55 (dotted curves). Red: the corresponding bivariate polynomial in |Blos, MDI(1)| and μ fit (Eq. (4)). The points below three times the magnetogram noise threshold (blue line) were excluded from the fit. Green: the global conversion factor (Eq. (5)). Grey: the conversion factor-versus-|Blos, MDI(1)| profile in each of the four quadrants of the solar disc. b) to g) The corresponding plots for the other instrument comparisons. See Sect. 3.2 for details.
Current usage metrics show cumulative count of Article Views (full-text article views including HTML views, PDF and ePub downloads, according to the available data) and Abstracts Views on Vision4Press platform.
Data correspond to usage on the plateform after 2015. The current usage metrics is available 48-96 hours after online publication and is updated daily on week days.
Initial download of the metrics may take a while.