Fig. 3

Download original image
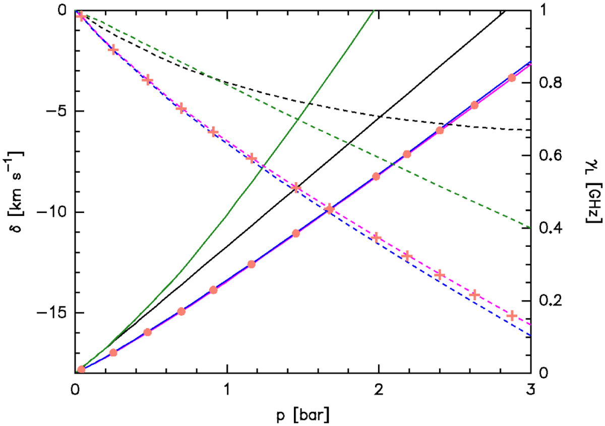
Pressure broadening γ (solid lines and dots, right ordinate) and shift δ (dashed lines and crosses, left ordinate) below 3 bar: HD-H2 for experimentally determined parameters (black, Sung et al. 2023, ≤ 1 bar) and calculated ones (green, Schaefer & Monchick 1992, for equilibrium ortho/para mixture). HD-He (theoretical) from Thibault et al. (2020, magenta), Schaefer & Monchick (1992, blue), and Stankiewicz et al. (2021, red).
Current usage metrics show cumulative count of Article Views (full-text article views including HTML views, PDF and ePub downloads, according to the available data) and Abstracts Views on Vision4Press platform.
Data correspond to usage on the plateform after 2015. The current usage metrics is available 48-96 hours after online publication and is updated daily on week days.
Initial download of the metrics may take a while.