Fig. 4.

Download original image
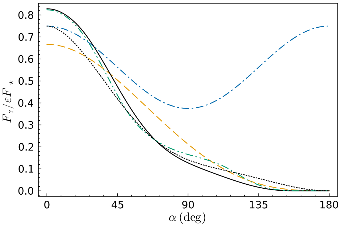
Comparison between the phase function of the different models: Thomson scattering spherical star including the exact calculation (solid, black) and the large separation approximation (dotted, black), Lambertian reflector (dashed, orange), Thomson scattering cloud (dash-dotted, blue), and Thomson scattering from a Roche lobe (green, dash-double dotted). The binary separation parameter is d/r = 2.673 and the mass ratio qm = 1.0.
Current usage metrics show cumulative count of Article Views (full-text article views including HTML views, PDF and ePub downloads, according to the available data) and Abstracts Views on Vision4Press platform.
Data correspond to usage on the plateform after 2015. The current usage metrics is available 48-96 hours after online publication and is updated daily on week days.
Initial download of the metrics may take a while.