Open Access
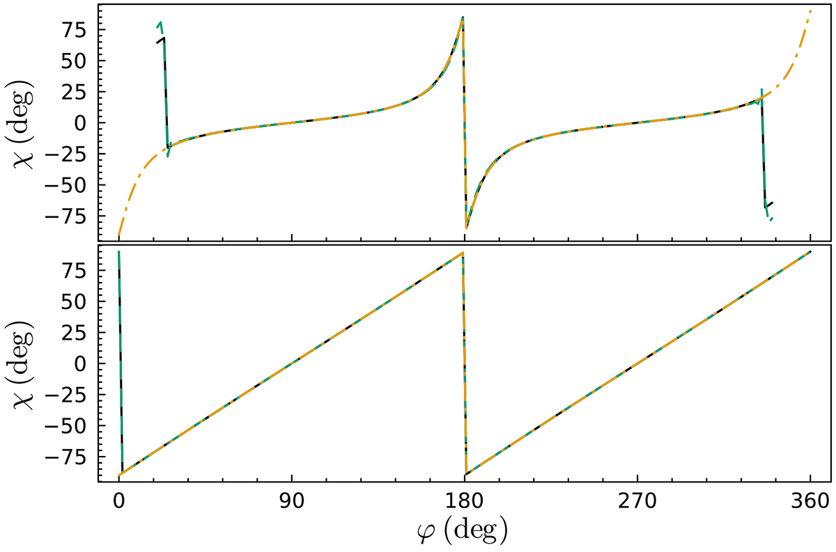
Fig. 6.

Download original image
PA as a function of orbital phase angle at inclinations of 80° (top) and 10° (bottom) for a Thomson scattering spherical star (black, solid) and one filling its Roche lobe (green, dashed), and a distant scatterer (orange, dash-dotted). The orbital separation and mass ratios are the same as in Fig. 4.
Current usage metrics show cumulative count of Article Views (full-text article views including HTML views, PDF and ePub downloads, according to the available data) and Abstracts Views on Vision4Press platform.
Data correspond to usage on the plateform after 2015. The current usage metrics is available 48-96 hours after online publication and is updated daily on week days.
Initial download of the metrics may take a while.