Open Access
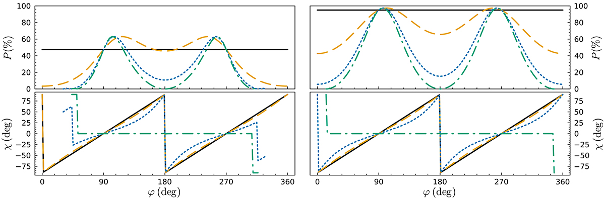
Fig. 7.

Download original image
Orbital polarization curves of the reflected emission for inclinations of i = 0° (solid black), 30° (dashed orange), 60° (blue dotted), and 90° (green dash-dotted). The orbital separation parameter is d/r = 1.5 (left) and 5.0 (right).
Current usage metrics show cumulative count of Article Views (full-text article views including HTML views, PDF and ePub downloads, according to the available data) and Abstracts Views on Vision4Press platform.
Data correspond to usage on the plateform after 2015. The current usage metrics is available 48-96 hours after online publication and is updated daily on week days.
Initial download of the metrics may take a while.