Open Access
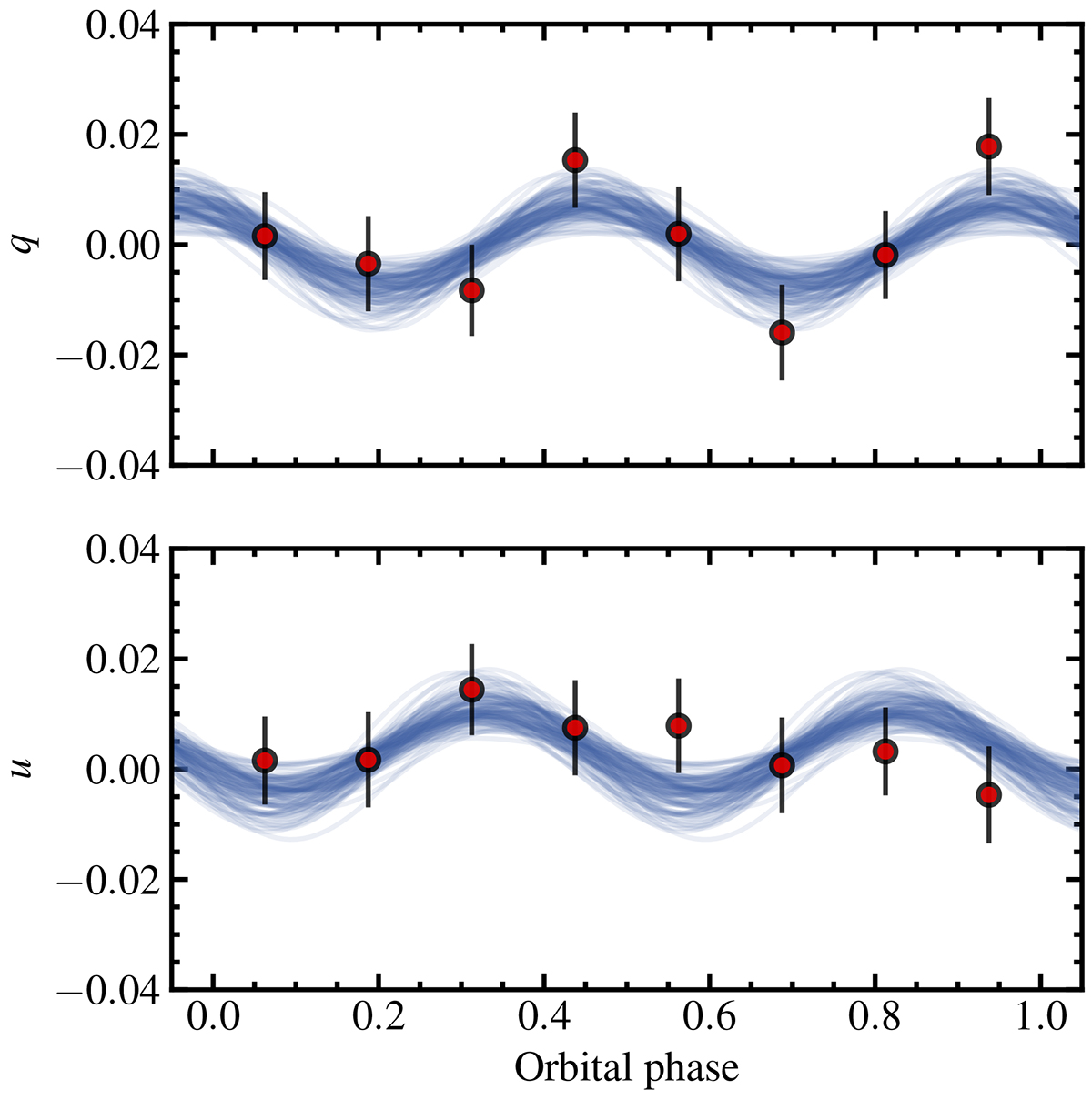
Fig. 9.

Download original image
Orbital variability of normalized Stokes parameters of GS 1826−238 (Rankin et al. 2024) (red circles with 1σ error bars). The solid blue lines show the large-separation reflection model given by Eqs. (42) and (43) for 100 samples from the posterior distribution.
Current usage metrics show cumulative count of Article Views (full-text article views including HTML views, PDF and ePub downloads, according to the available data) and Abstracts Views on Vision4Press platform.
Data correspond to usage on the plateform after 2015. The current usage metrics is available 48-96 hours after online publication and is updated daily on week days.
Initial download of the metrics may take a while.