Fig. 3

Download original image
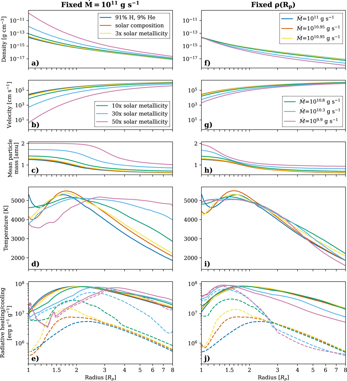
Atmospheric profiles for a generic hot-Neptune planet at different metallicities. The left column shows a set of models with a fixed mass-loss rate. The right column shows another set of models with a fixed density at the planet radius, leading to different mass-loss rates at different metallicities. For every model, the value of T0 is chosen such that it is consistent with the mean of the nonisothermal temperature profile of panel d or i between 1 Rp and 2 Rp. Those values for T0 can be found in the text in Sects. 3.2.1 and 3.2.4. In panels e and j, solid lines show the radiative heating rates and dashed lines show the radiative cooling rates.
Current usage metrics show cumulative count of Article Views (full-text article views including HTML views, PDF and ePub downloads, according to the available data) and Abstracts Views on Vision4Press platform.
Data correspond to usage on the plateform after 2015. The current usage metrics is available 48-96 hours after online publication and is updated daily on week days.
Initial download of the metrics may take a while.