Fig. 8

Download original image
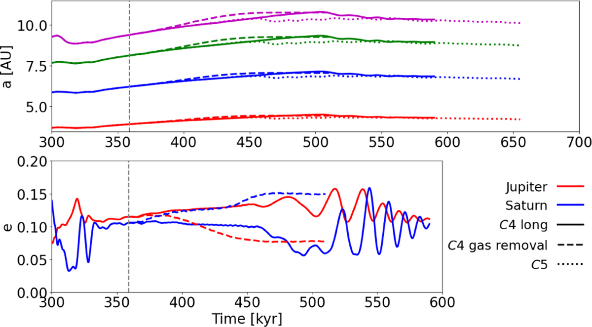
Effect of the gas removal on the planetary orbits in the case of outward migration. Top panel: semi-major axis evolution of Jupiter, Saturn, Uranus, and Neptune from simulation C4 prolonged (plain line), C4 with the mock gas evaporation phase (dashed line; corresponding to Fig. 5), and C5 (dotted line; corresponding to Fig. 6 before the mock evaporation phase). Bottom panel: eccentricity evolution of Jupiter and Saturn in the two C4 cases described in the top panel.
Current usage metrics show cumulative count of Article Views (full-text article views including HTML views, PDF and ePub downloads, according to the available data) and Abstracts Views on Vision4Press platform.
Data correspond to usage on the plateform after 2015. The current usage metrics is available 48-96 hours after online publication and is updated daily on week days.
Initial download of the metrics may take a while.