Fig. 1

Download original image
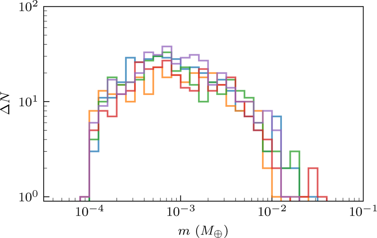
Differential mass distribution of the planetesimals formed near the initial disc substructure for the set of simulations with α = 5 × 10−4 drawn from the adopted initial mass function by Gerbig & Li (2023). There are 10 bins per decade in mass m and ΔN is the number of planetesimals in each bin. Each colour corresponds to one of the five simulations.
Current usage metrics show cumulative count of Article Views (full-text article views including HTML views, PDF and ePub downloads, according to the available data) and Abstracts Views on Vision4Press platform.
Data correspond to usage on the plateform after 2015. The current usage metrics is available 48-96 hours after online publication and is updated daily on week days.
Initial download of the metrics may take a while.