Fig. 15

Download original image
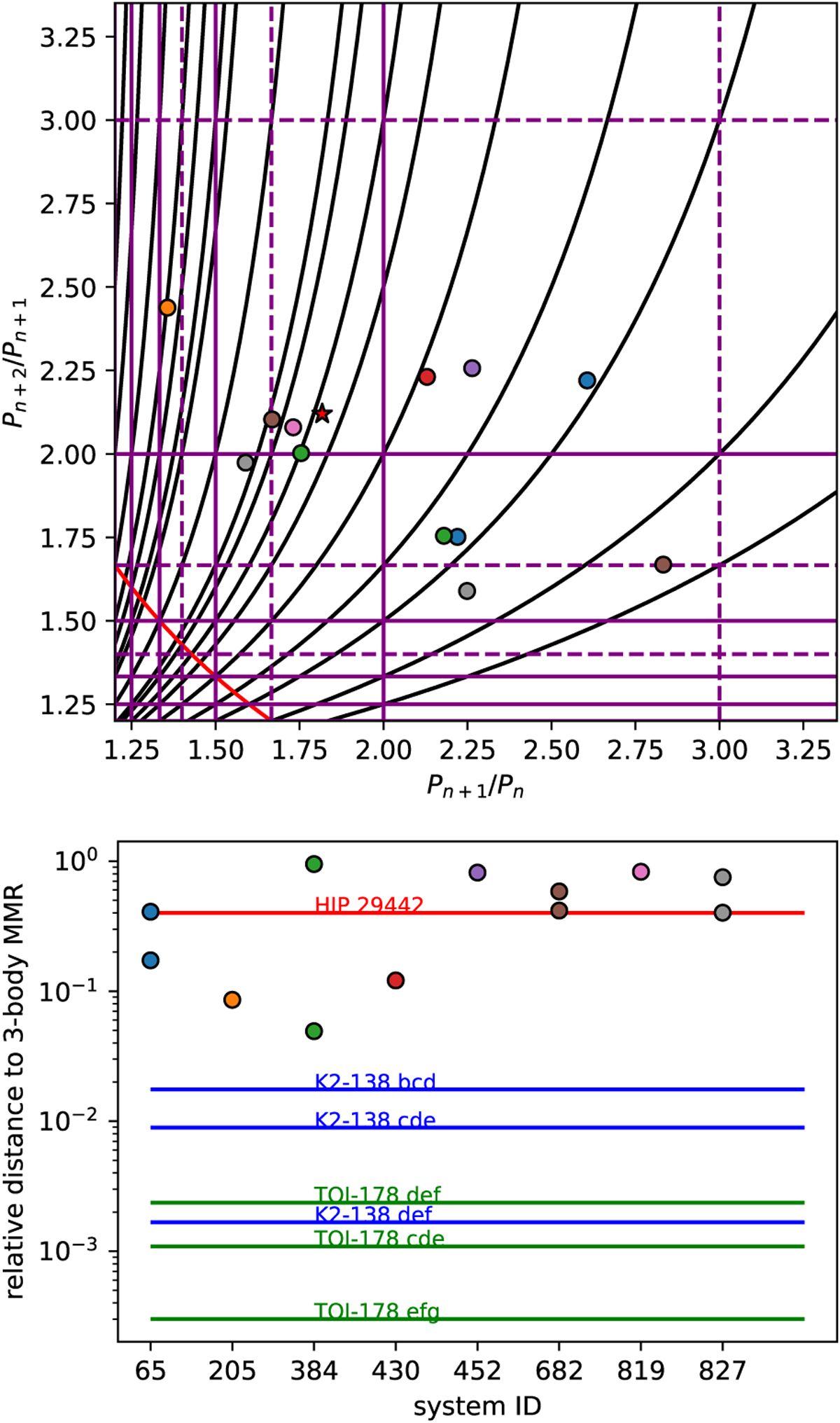
Resonance behaviour of the observed HIP 29442 system and the synthetic system analogues. The top panel shows the HIP 29442 system (red star) with respect to the web of three-body MMRs (in black) and two-body MMRs (in purple and red). The coloured circles show the position of the triplets of the analogue systems from the synthetic NGPPS population, the system ID corresponding to each colour is given on the x-axis of the bottom panel. The bottom panel shows the same triplets with their relative distance to the nearest three-body MMR. The coloured lines show the distance to three-body MMRs for the observed systems HIP 29442, K2-138 and TOI-178.
Current usage metrics show cumulative count of Article Views (full-text article views including HTML views, PDF and ePub downloads, according to the available data) and Abstracts Views on Vision4Press platform.
Data correspond to usage on the plateform after 2015. The current usage metrics is available 48-96 hours after online publication and is updated daily on week days.
Initial download of the metrics may take a while.