Fig. 3

Download original image
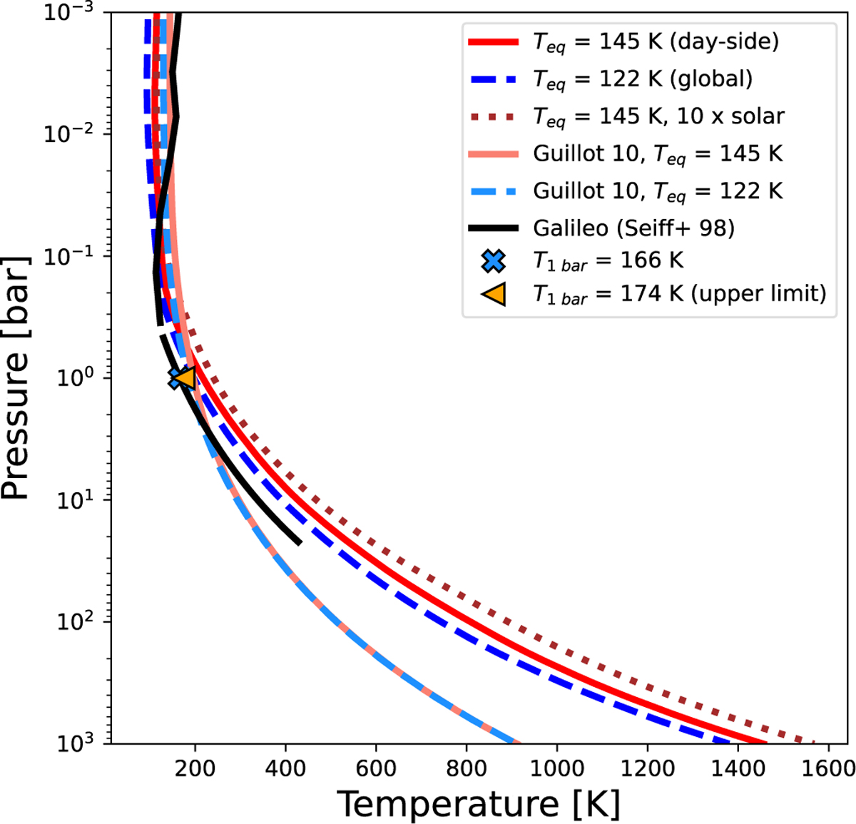
Atmospheric profiles for Jupiter’s interior–atmosphere models. Our clear petitCODE fiducial model is 50 K warmer than suggested by the atmospheric data for Jupiter provided by Voyager and the Galileo probe (Seiff et al. 1998; Gupta et al. 2022; Li et al. 2024). We assume the fiducial case, with an internal temperature of Tint = 107 K, a solar composition, and a CMF of 0.03. For the Guillot (2010) atmospheric models, we adopt an infrared opacity of κth = 0.01 cm2 g−1, and a visible-to-thermal opacity ratio of κυ/κth = γ = 0.4.
Current usage metrics show cumulative count of Article Views (full-text article views including HTML views, PDF and ePub downloads, according to the available data) and Abstracts Views on Vision4Press platform.
Data correspond to usage on the plateform after 2015. The current usage metrics is available 48-96 hours after online publication and is updated daily on week days.
Initial download of the metrics may take a while.