Fig. 6

Download original image
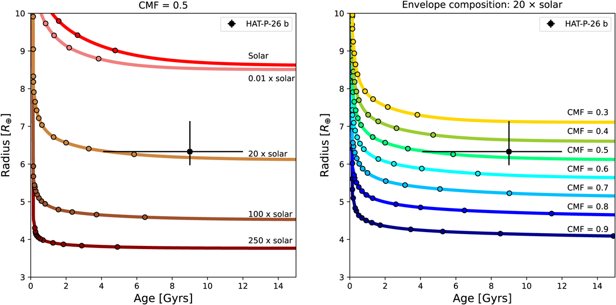
Radius evolution curves for HAT-P-26 b. Left: radius evolution as a function of age for HAT-P-26 b for a constant CMF = 0.5. Right: radius evolution as a function of age for HAT-P-26 b for an envelope metallicity of 20 × solar. Radius decreases with increasing core mass fraction and age. We adopt HAT-P-26 b’s mean mass (M = 18.76 M⊕) and equilibrium temperature Teq ~ 1000 K across all models.
Current usage metrics show cumulative count of Article Views (full-text article views including HTML views, PDF and ePub downloads, according to the available data) and Abstracts Views on Vision4Press platform.
Data correspond to usage on the plateform after 2015. The current usage metrics is available 48-96 hours after online publication and is updated daily on week days.
Initial download of the metrics may take a while.