Fig. 13

Download original image
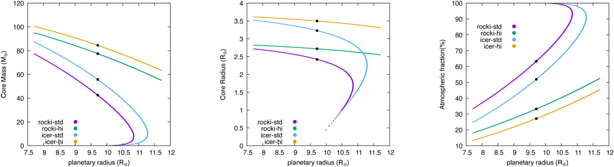
Solutions of core–envelope models for planet TOI-837 b with total mass fixed at the measured value, considering both rock-iron core and ice-rock core scenarios with standard and enhanced metallicity. The left panel shows the core mass versus the planetary radius, the middle panel the core radius, and the right panel the atmospheric mass fraction.
Current usage metrics show cumulative count of Article Views (full-text article views including HTML views, PDF and ePub downloads, according to the available data) and Abstracts Views on Vision4Press platform.
Data correspond to usage on the plateform after 2015. The current usage metrics is available 48-96 hours after online publication and is updated daily on week days.
Initial download of the metrics may take a while.