Open Access

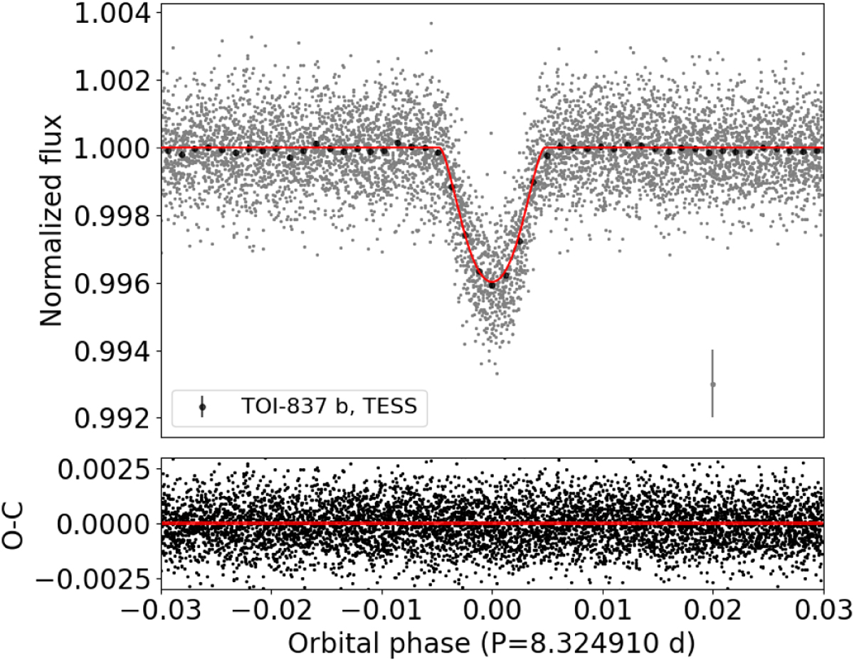
Fig. 8

image

Download original image

Phase-folded transit light curve of TOI-837 b, and O–C residuals. The data point on the bottom right of the first panel shows the median error bar of the complete photometric time series.

Current usage metrics show cumulative count of Article Views (full-text article views including HTML views, PDF and ePub downloads, according to the available data) and Abstracts Views on Vision4Press platform.

Data correspond to usage on the plateform after 2015. The current usage metrics is available 48-96 hours after online publication and is updated daily on week days.

Initial download of the metrics may take a while.