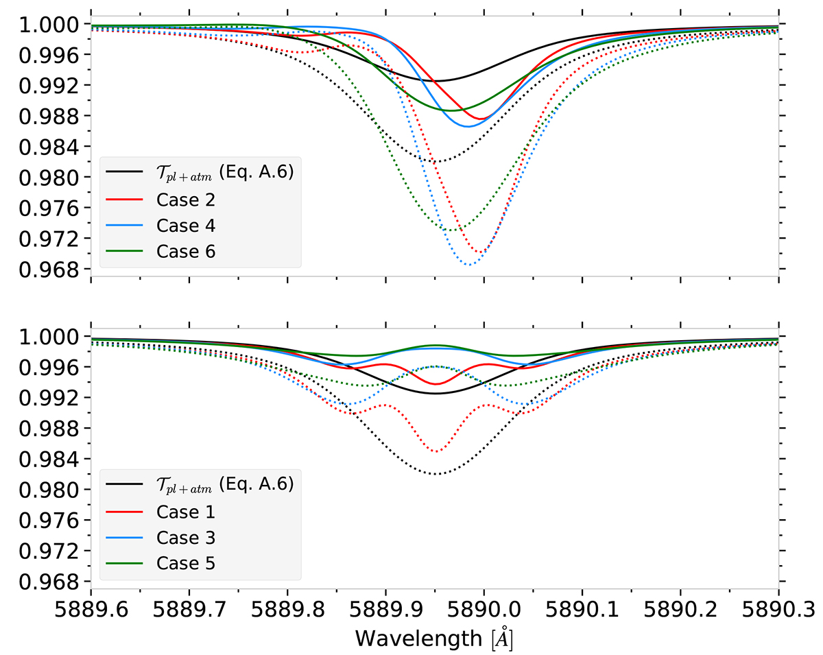
Fig. A.1.

Download original image
Comparison of the corrected transmission spectrum (Eq. A.3) and the pure transmission signature (Eq. A.6) for an atmosphere with a radius of 1.5 times the planetary radius (plain curves) and 2.0 times the planetary radius (dotted curves). Upper panel: When the planet is at x, y = ( − 0.5; 0). Lower panel: When the planet is at x, y = (0; 0), the centre of the stellar disc.
Current usage metrics show cumulative count of Article Views (full-text article views including HTML views, PDF and ePub downloads, according to the available data) and Abstracts Views on Vision4Press platform.
Data correspond to usage on the plateform after 2015. The current usage metrics is available 48-96 hours after online publication and is updated daily on week days.
Initial download of the metrics may take a while.