Fig. 1

Download original image
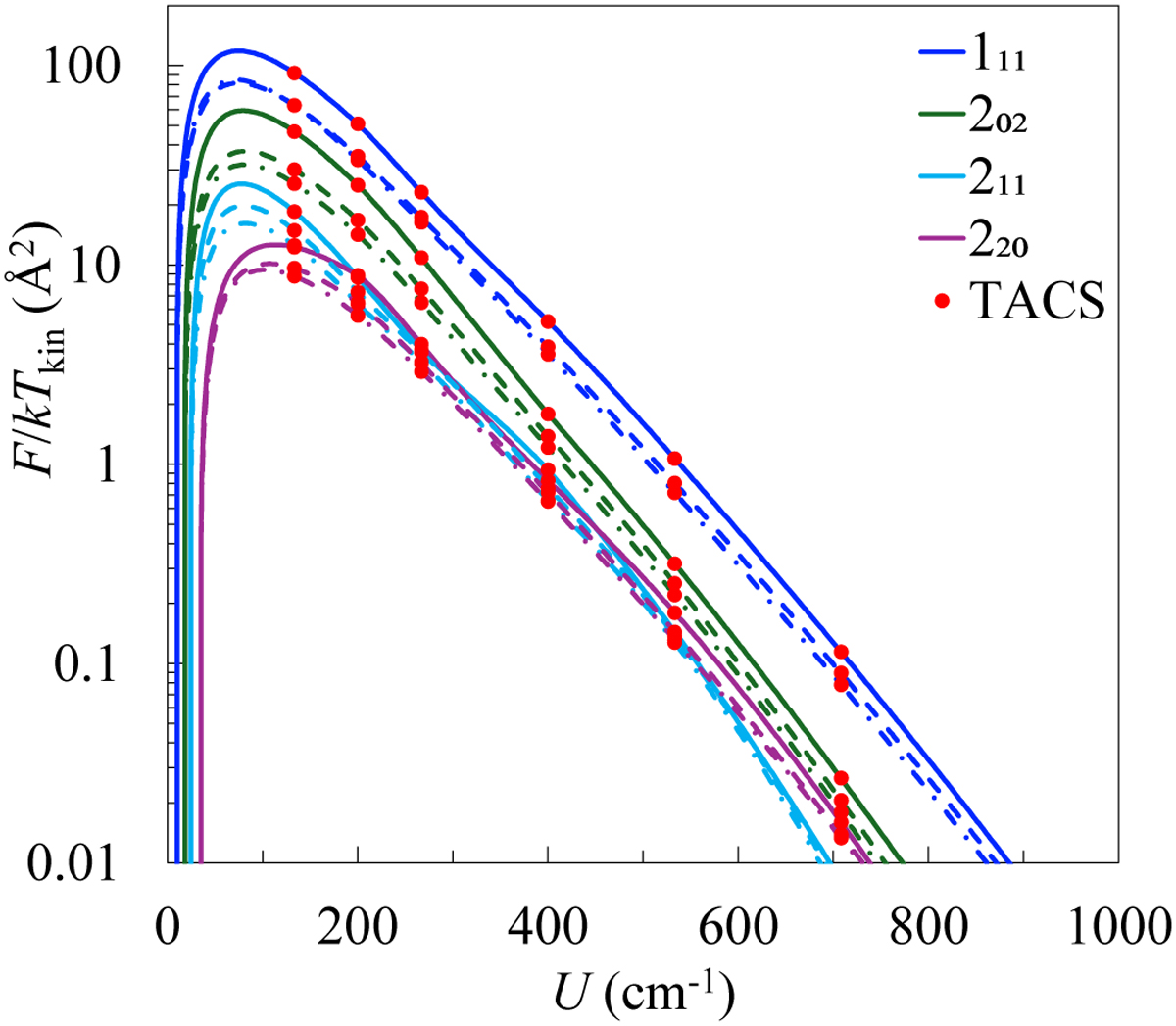
Function F, which includes all factors under the integral of Eq. (11) for several transitions between the ground state 000 of para-H2O and its several low-lying rotational states (as indicated by different colors in the figure) at Tkin = 100 K. The solid, dashed, and dash-dotted lines correspond to a rotational temperature of Trot =10, 50, and 100 K, respectively.
Current usage metrics show cumulative count of Article Views (full-text article views including HTML views, PDF and ePub downloads, according to the available data) and Abstracts Views on Vision4Press platform.
Data correspond to usage on the plateform after 2015. The current usage metrics is available 48-96 hours after online publication and is updated daily on week days.
Initial download of the metrics may take a while.