Fig. B.6.

Download original image
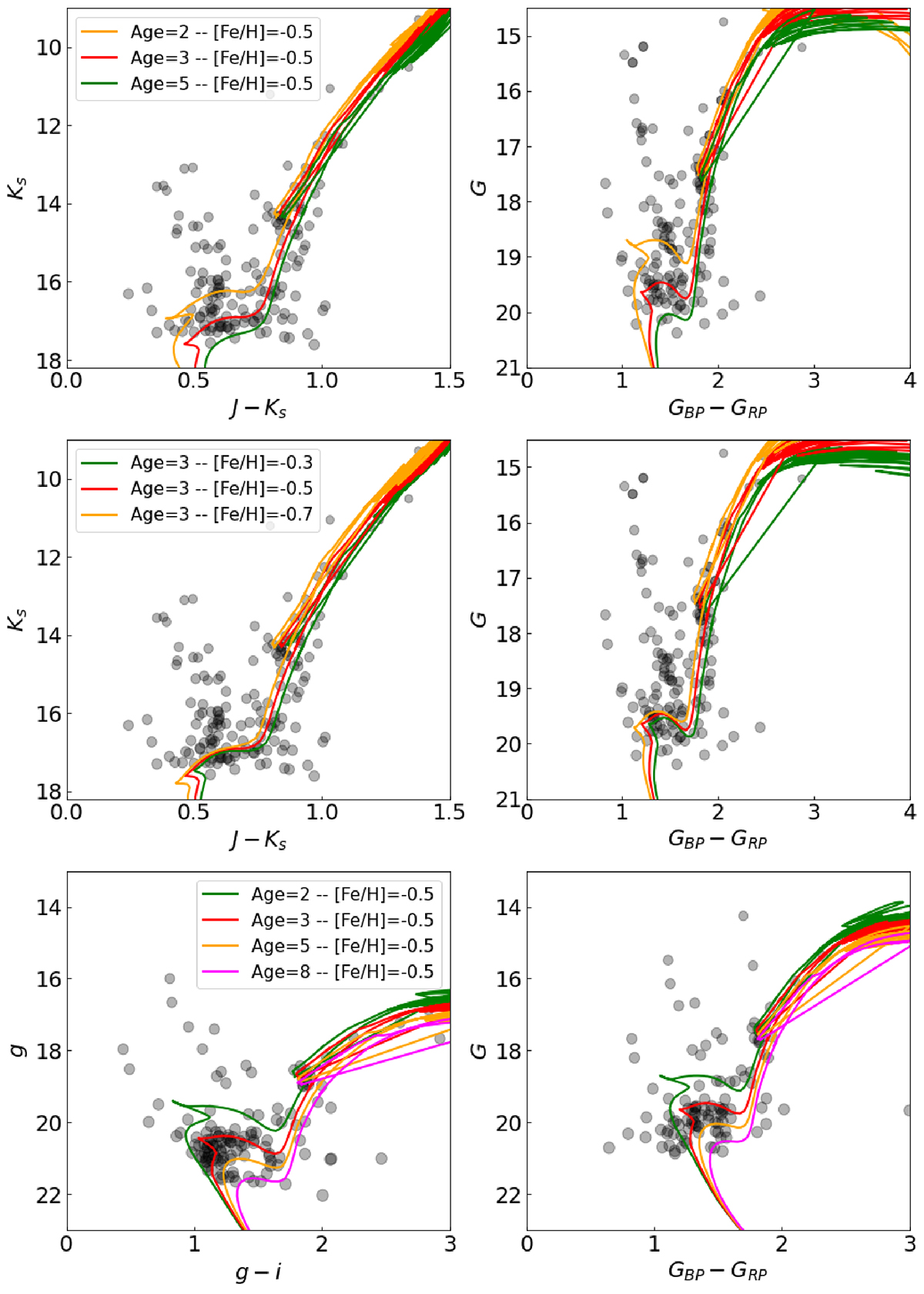
Optical and NIR CMDs, as shown in Fig. B.5. We fit a family of PARSEC isochrones: on the top panels, we keep fixed the metallicity ([Fe/H] = −0.5) and we change the age (Age = 2, 3, 5 Gyr), contrary in the middle panels, we keep fixed the Age = 3 Gyr, and we change the metallicity ([Fe/H] = −0.3, − 0.5, − 0.7), as also specified by the legend. In the bottom panels, we show deeper DECaPS+Gaia DR3 CMDs, where the top of the main sequence is reached at g ∼ 20.8, used to derive a robust age estimate. In this case, we fixed the [Fe/H] = − 0.5 and we change the age = 2, 3, 5, 8 Gyr.
Current usage metrics show cumulative count of Article Views (full-text article views including HTML views, PDF and ePub downloads, according to the available data) and Abstracts Views on Vision4Press platform.
Data correspond to usage on the plateform after 2015. The current usage metrics is available 48-96 hours after online publication and is updated daily on week days.
Initial download of the metrics may take a while.