Open Access
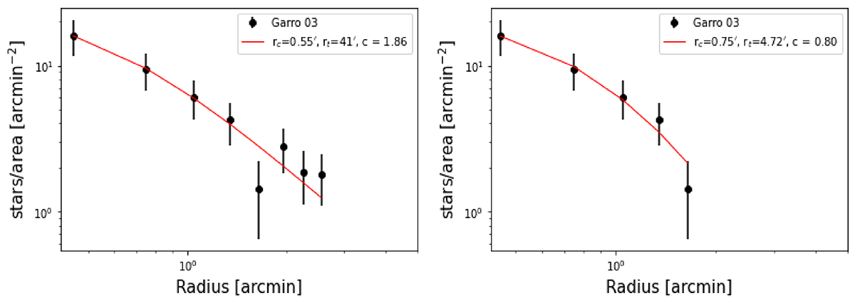
Fig. B.7.

Download original image
Radial density profile of Garro 03, considering eight circular annuli (on the left) and excluding the last three annuli, considered background level residuals (on the right). In both panels, we depict with the red line the best-fit of the King model, which provides the main structural parameters specified in the legend.
Current usage metrics show cumulative count of Article Views (full-text article views including HTML views, PDF and ePub downloads, according to the available data) and Abstracts Views on Vision4Press platform.
Data correspond to usage on the plateform after 2015. The current usage metrics is available 48-96 hours after online publication and is updated daily on week days.
Initial download of the metrics may take a while.