Open Access
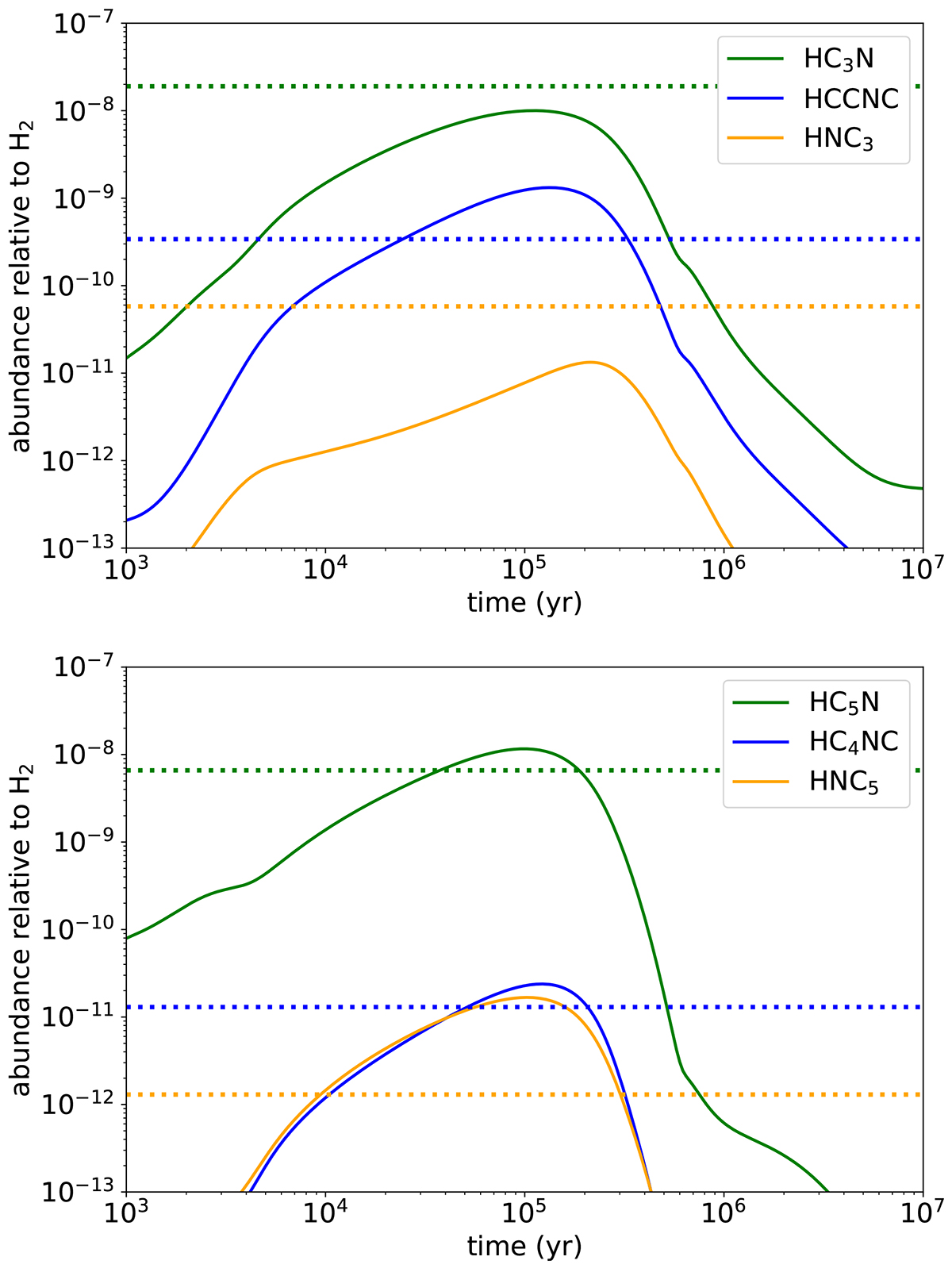
Fig. 4.

Download original image
Calculated fractional abundances for the C3HN (top panel) and C5HN isomers (bottom panel) as a function of time. The horizontal dotted lines correspond to the values observed in TMC-1 adopting the column densities of Table 3 and a column density of H2 of 1022 cm−2 (Cernicharo & Guélin 1987).
Current usage metrics show cumulative count of Article Views (full-text article views including HTML views, PDF and ePub downloads, according to the available data) and Abstracts Views on Vision4Press platform.
Data correspond to usage on the plateform after 2015. The current usage metrics is available 48-96 hours after online publication and is updated daily on week days.
Initial download of the metrics may take a while.