Fig. 1

Download original image
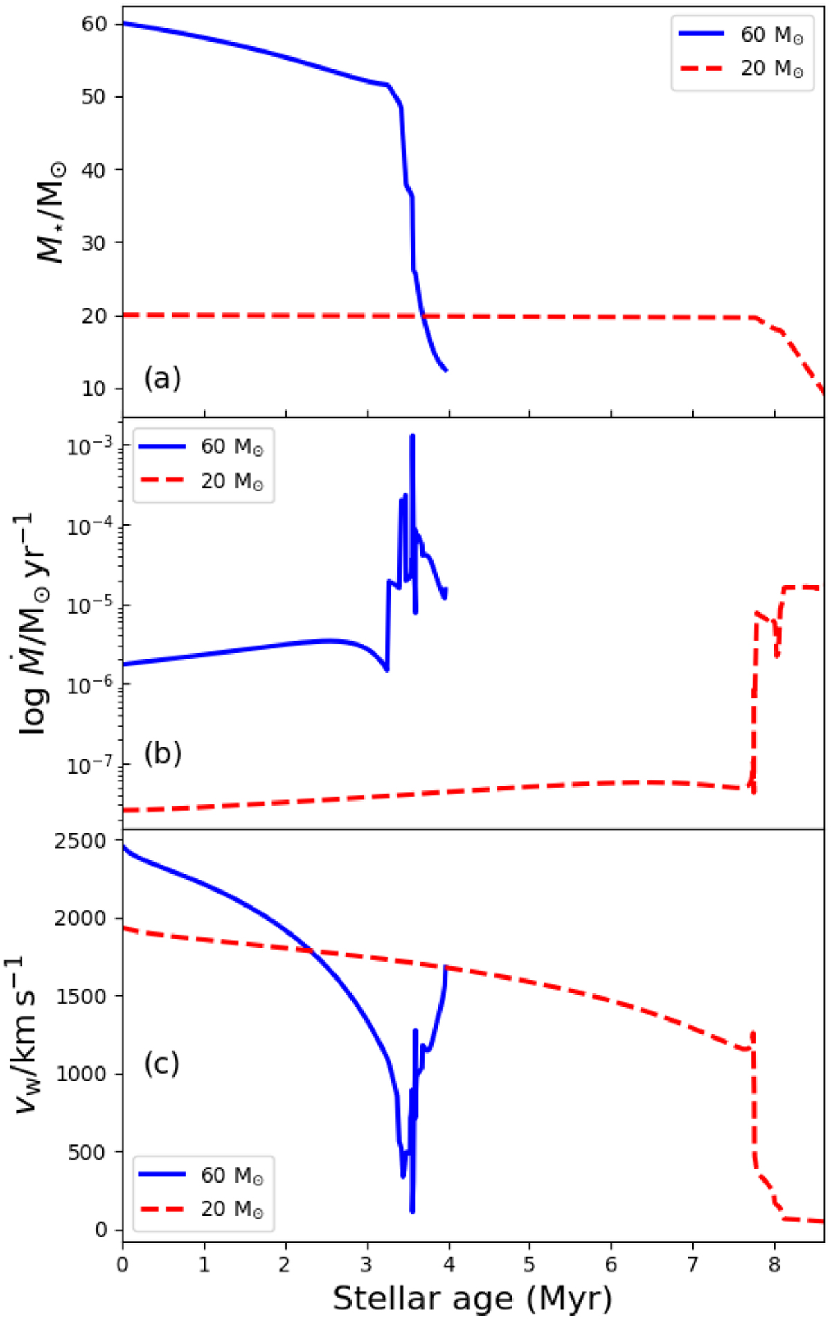
Evolution of stellar mass (panel a), mass-loss rate (panel b), and wind velocity (panel c) as a function of stellar age (in Myr) during different evolutionary stages of the 20 M⊙ and 60 M⊙ stars. The evolutionary stages of the 20 M⊙ star are shown with red dashed lines and those of the 60 M⊙ star are shown with blue solid lines. We used these parameters as the initial condition in the hydrodynamic simulation for constructing the corresponding CSM at the pre-supernova stage at 8.64 million years for the 20 M⊙ star and 3.95 million years for the 60 M⊙ star. The stellar parameters for the 20 M⊙ and 60 M⊙ stars are taken from Ekström et al. (2012); Groh et al. (2014), respectively.
Current usage metrics show cumulative count of Article Views (full-text article views including HTML views, PDF and ePub downloads, according to the available data) and Abstracts Views on Vision4Press platform.
Data correspond to usage on the plateform after 2015. The current usage metrics is available 48-96 hours after online publication and is updated daily on week days.
Initial download of the metrics may take a while.