Fig. 3

Download original image
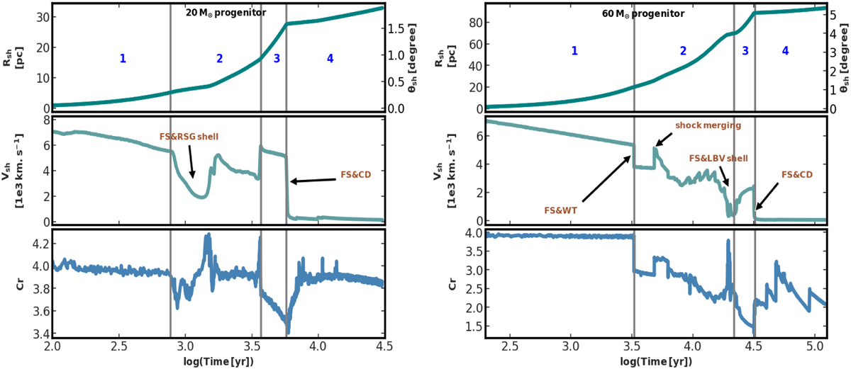
Temporal evolution of the forward shock parameters. The parameters include radius, Rsh; speed, Vsh; and the sub-shock compression ratio, Cr. In the upper panel, we provide the angular scale, θsh, for an SNR located 1000 pc away. We also mark the interactions of the forward shocks with discontinuities in the wind bubbles of the two types of progenitor stars.
Current usage metrics show cumulative count of Article Views (full-text article views including HTML views, PDF and ePub downloads, according to the available data) and Abstracts Views on Vision4Press platform.
Data correspond to usage on the plateform after 2015. The current usage metrics is available 48-96 hours after online publication and is updated daily on week days.
Initial download of the metrics may take a while.