Open Access
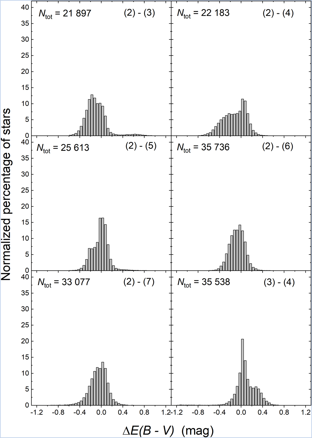
Fig. A.1

Download original image
Histograms of the differences for (1) this work, (2) Chen et al. (2019), (3) Gaia DR2 (Andrae et al. 2018), (4) Gaia DR3 (Gaia Collaboration 2021), (5) StarHorse (Anders et al. 2019), (6) StarHorse2021 (Anders et al. 2022), and (7) Bayestar2019 (Green et al. 2019), as listed in Table 3.
Current usage metrics show cumulative count of Article Views (full-text article views including HTML views, PDF and ePub downloads, according to the available data) and Abstracts Views on Vision4Press platform.
Data correspond to usage on the plateform after 2015. The current usage metrics is available 48-96 hours after online publication and is updated daily on week days.
Initial download of the metrics may take a while.