Fig. 5.

Download original image
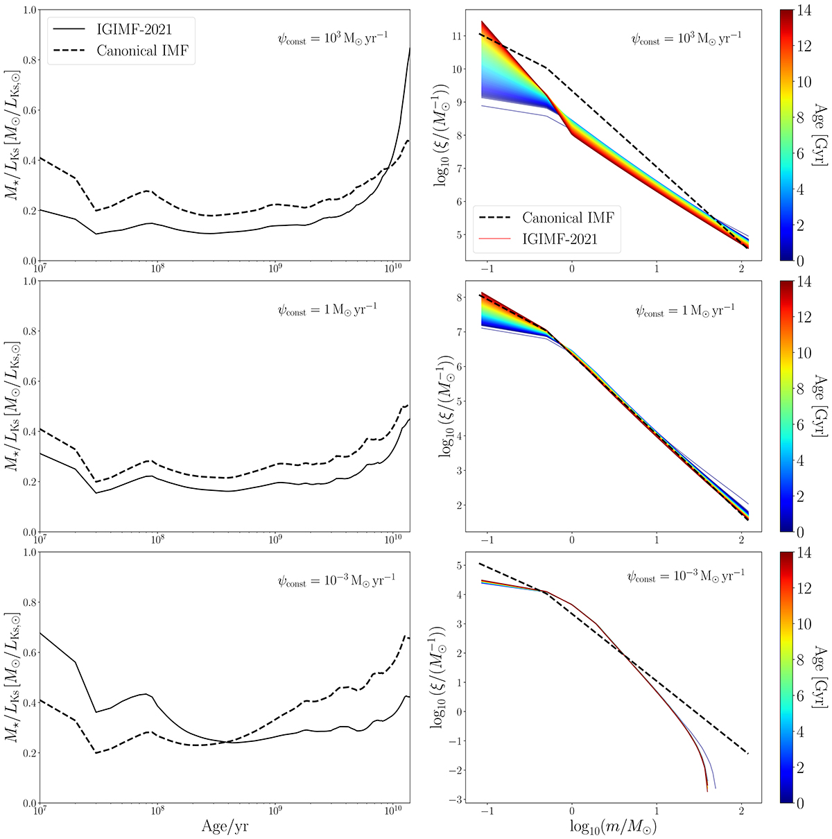
Time evolution of the gwIMF (right panels) and the stellar mass-to-light ratio in the K-band (left panels) assuming a constant SFR of ψ = 103 M⊙ yr−1 (top panels), 1 M⊙ yr−1 (middle panels), and 10−3 M⊙ yr−1 (bottom panels) over a timescale of 14 Gyr in the invariant canonical gwIMF (dashed black lines in the left and right panels; Kroupa 2001) and IGIMF-2021 (solid black line in the left panels and coloured lines in the right panels) framework. The chemical evolution model adopts gconv = 0.25. The mass-to-light evolution curves adopting the invariant canonical IMF are not identical because they represent the evolution of galaxies with different metal enrichment histories.
Current usage metrics show cumulative count of Article Views (full-text article views including HTML views, PDF and ePub downloads, according to the available data) and Abstracts Views on Vision4Press platform.
Data correspond to usage on the plateform after 2015. The current usage metrics is available 48-96 hours after online publication and is updated daily on week days.
Initial download of the metrics may take a while.