Fig. F.2.

Download original image
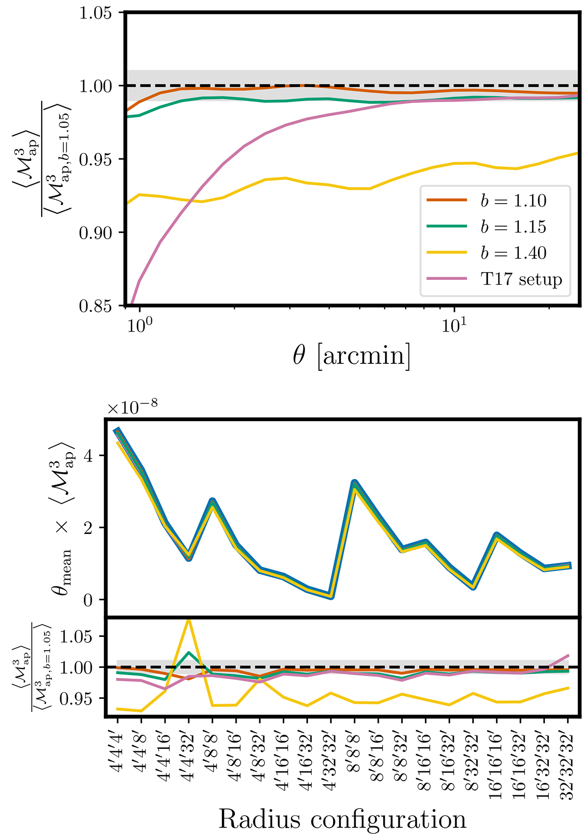
Accuracy of the numerical integration of the shear 3PCF to the third-order aperture statistics for different logarithmic spacings of radial bins, as well as for the radial binning that was used in the computation of the covariance in the T17 ensemble. All measurements were done in the SLICS ensemble. In the upper panel, we show the ratio between ⟨ℳap3⟩ when estimated using a particular logarithmic bin width, b, for the shear 3PCF and the corresponding result with b ≡ 1.05. In the lower panel, we show the corresponding results when allowing for unequal aperture filters.
Current usage metrics show cumulative count of Article Views (full-text article views including HTML views, PDF and ePub downloads, according to the available data) and Abstracts Views on Vision4Press platform.
Data correspond to usage on the plateform after 2015. The current usage metrics is available 48-96 hours after online publication and is updated daily on week days.
Initial download of the metrics may take a while.