Fig. F.3.

Download original image
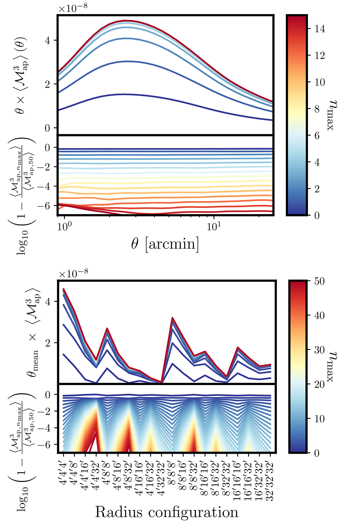
Impact of higher-order multipoles of the shear 3PCF on the third-order aperture statistics in the SLICS ensemble. In the upper panel of the top (bottom) figure, we show the estimated signal for the equal-scale (unequal-scale) statistics, when using only the first nmax multipoles. The lower panel displays the decimal logarithm of the fractional difference between the measurement using 50 multipoles and the measurements using only multipoles up until nmax.
Current usage metrics show cumulative count of Article Views (full-text article views including HTML views, PDF and ePub downloads, according to the available data) and Abstracts Views on Vision4Press platform.
Data correspond to usage on the plateform after 2015. The current usage metrics is available 48-96 hours after online publication and is updated daily on week days.
Initial download of the metrics may take a while.