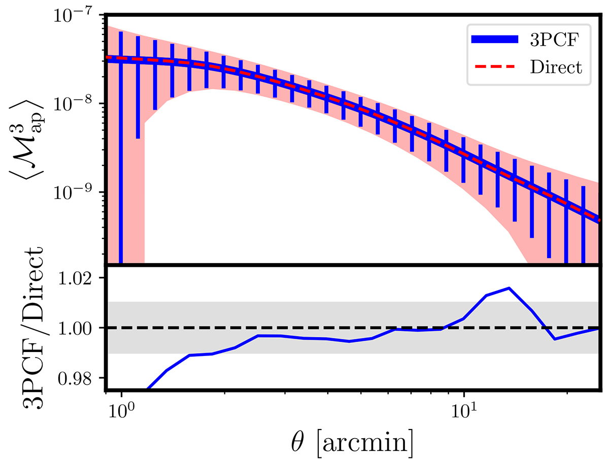
Fig. 5.

Download original image
Comparison of the third-order aperture mass statistics between the multipole-based estimator (blue line with error bars) and the direct estimator (dashed red line with error band) in the SLICS ensemble. In the lower panel, we plot the ratio between the two measurements (blue line) and show a one percent interval as the gray-shaded region.
Current usage metrics show cumulative count of Article Views (full-text article views including HTML views, PDF and ePub downloads, according to the available data) and Abstracts Views on Vision4Press platform.
Data correspond to usage on the plateform after 2015. The current usage metrics is available 48-96 hours after online publication and is updated daily on week days.
Initial download of the metrics may take a while.