Fig. 7.

Download original image
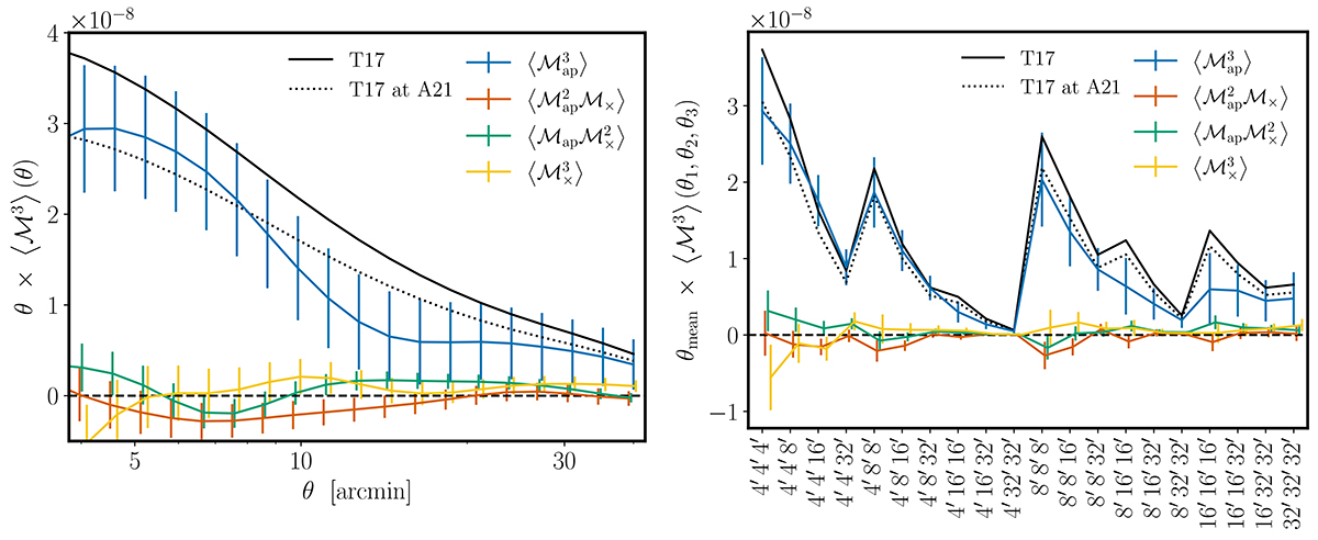
Non-tomographic third-order aperture measures in the KiDS-1000 data, using only equal aperture scales (left) or a combination of different scales (right). The error corresponds to the standard deviation in the T17 ensemble. The solid black line compares our measurement to the mean value of the T17 ensemble and the dotted black line corresponds to the result when rescaling the measurement in the T17 ensemble to a cosmology for which the values of Ωm and S8 correspond to the best-fit values from A21.
Current usage metrics show cumulative count of Article Views (full-text article views including HTML views, PDF and ePub downloads, according to the available data) and Abstracts Views on Vision4Press platform.
Data correspond to usage on the plateform after 2015. The current usage metrics is available 48-96 hours after online publication and is updated daily on week days.
Initial download of the metrics may take a while.