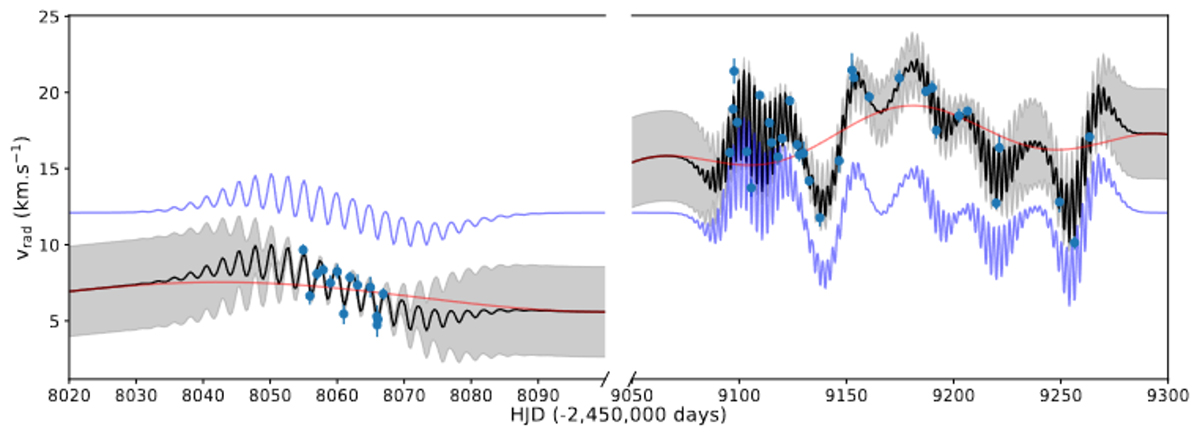
Fig. C.3.

Download original image
Joint fit of the 2017 and 2020 RV curve with pyaneti assuming two companions. The blue points are the measurements with their uncertainties, the black curve is the GP fit of the stellar activity (purple) plus the two Keplerian modulation by the two companions (red). The grey-shaded area is the 1σ uncertainty of the fit. The x-axis has been cut for more visibility.
Current usage metrics show cumulative count of Article Views (full-text article views including HTML views, PDF and ePub downloads, according to the available data) and Abstracts Views on Vision4Press platform.
Data correspond to usage on the plateform after 2015. The current usage metrics is available 48-96 hours after online publication and is updated daily on week days.
Initial download of the metrics may take a while.