Open Access
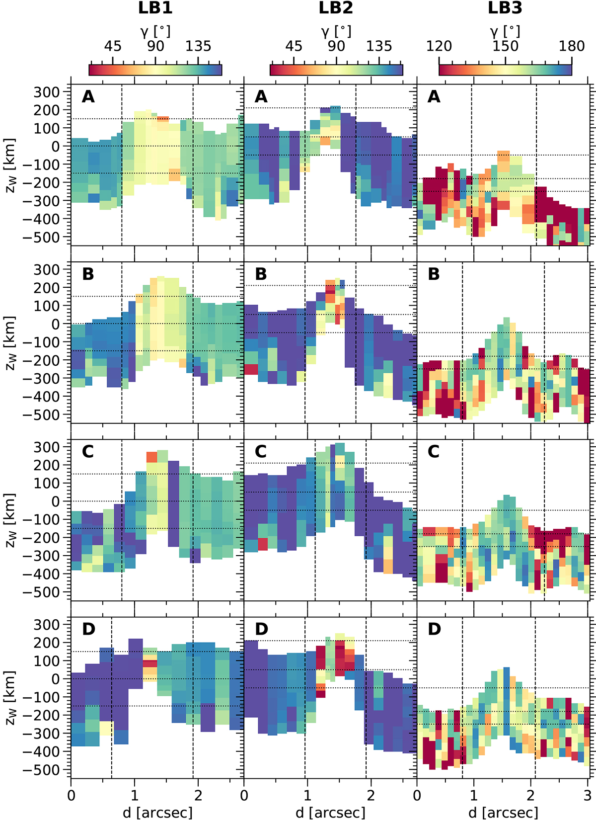
Fig. 11.

Download original image
Variation in the magnetic inclination given by SIR with geometric height along the cuts A–D in LB1, LB2, and LB3. The horizontal lines mark the heights displayed in Fig. 5 for LB1, LB2, and LB3. The vertical lines help distinguish the pixels within each LB. We note that the right column is saturated using a different scale.
Current usage metrics show cumulative count of Article Views (full-text article views including HTML views, PDF and ePub downloads, according to the available data) and Abstracts Views on Vision4Press platform.
Data correspond to usage on the plateform after 2015. The current usage metrics is available 48-96 hours after online publication and is updated daily on week days.
Initial download of the metrics may take a while.