Fig. 15.

Download original image
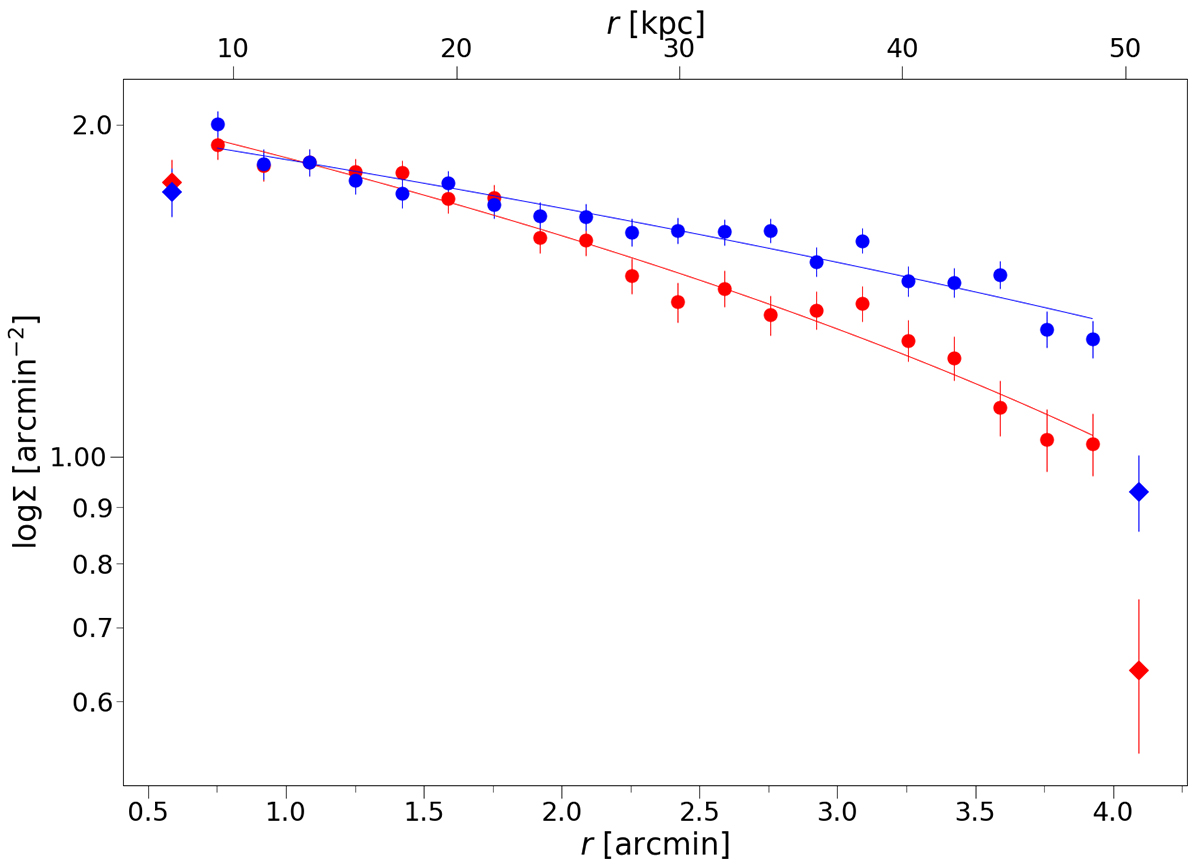
Radial density profile for the blue and red GC populations. The plot shows the logarithm of the density of clusters (logΣ) as a function of the distance from the center of the galaxy (r) for the (g′−i′)0 ≥ 0.905 (red) and (g′−i′)0 < 0.905 (blue) subsamples. The diamonds represent the data not considered for the analysis in order to avoid incompleteness effects.
Current usage metrics show cumulative count of Article Views (full-text article views including HTML views, PDF and ePub downloads, according to the available data) and Abstracts Views on Vision4Press platform.
Data correspond to usage on the plateform after 2015. The current usage metrics is available 48-96 hours after online publication and is updated daily on week days.
Initial download of the metrics may take a while.