Fig. D.1.

Download original image
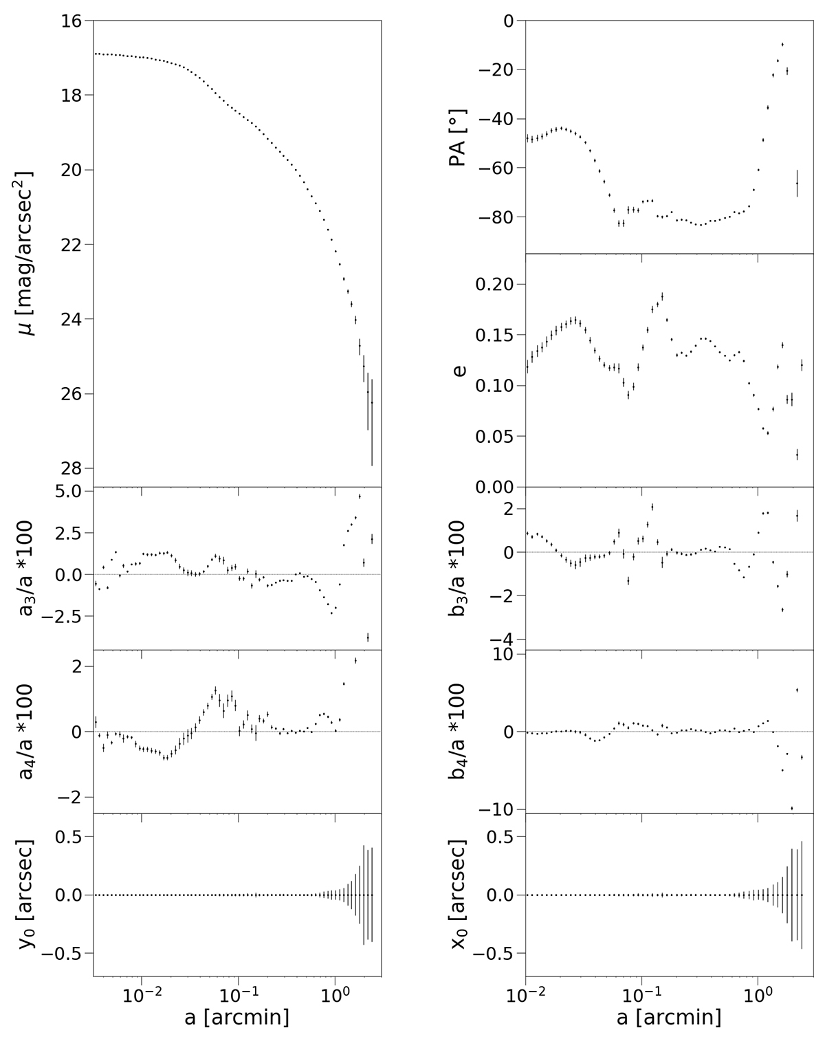
Radial surface brightness profile along the major axis for NGC 4696. The panels show the trend of the surface brightness (μ), the position angle (PA), the ellipticity (e), the center (x0,y0), and the Fourier coefficients a3, a4, b3, and b4 as a function of the logarithm of the semi major axis (a). The plots were obtained through the interpolation of ISOFIT on the image in the i′ band.
Current usage metrics show cumulative count of Article Views (full-text article views including HTML views, PDF and ePub downloads, according to the available data) and Abstracts Views on Vision4Press platform.
Data correspond to usage on the plateform after 2015. The current usage metrics is available 48-96 hours after online publication and is updated daily on week days.
Initial download of the metrics may take a while.