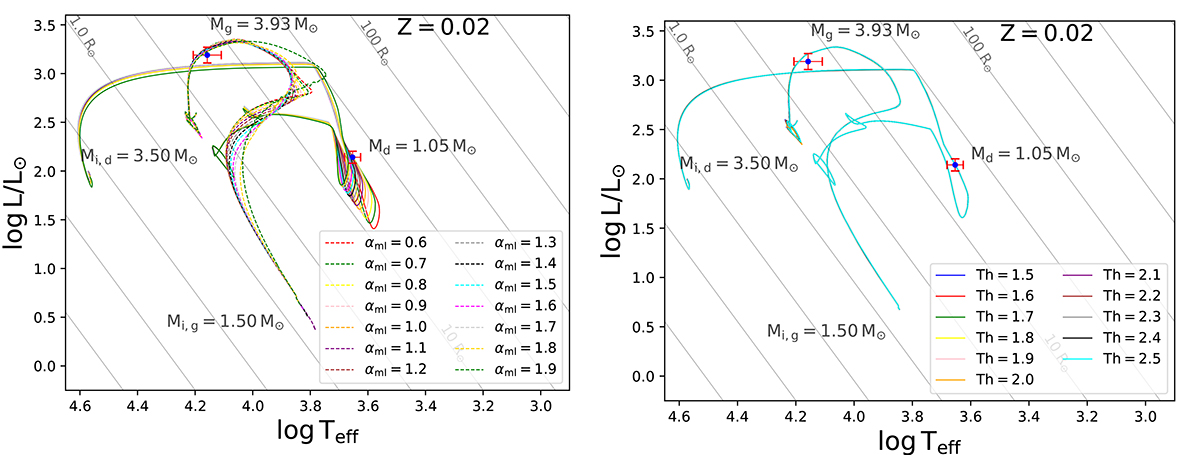
Fig. 13.

Download original image
Schematic behavior of the αml and thermohaline parameters for V4142 Sgr. Left: schematic behavior of the mixed length parameter (αml) for different values. This parameter regulates the so-called rejuvenation process in the gainer star. Although it has no influence on the evolution of the mass transfer, stellar masses, or binary period, it significantly affects the evolutionary path of the secondary star during mass transfer until the end of optically thick mass transfer, aging it for lower values of αml (opposite to the behavior of the gainer star). Right: schematic behavior for different values of the thermohaline parameter, where no significant changes are observed during the evolution of both stars.
Current usage metrics show cumulative count of Article Views (full-text article views including HTML views, PDF and ePub downloads, according to the available data) and Abstracts Views on Vision4Press platform.
Data correspond to usage on the plateform after 2015. The current usage metrics is available 48-96 hours after online publication and is updated daily on week days.
Initial download of the metrics may take a while.