Fig. 17.

Download original image
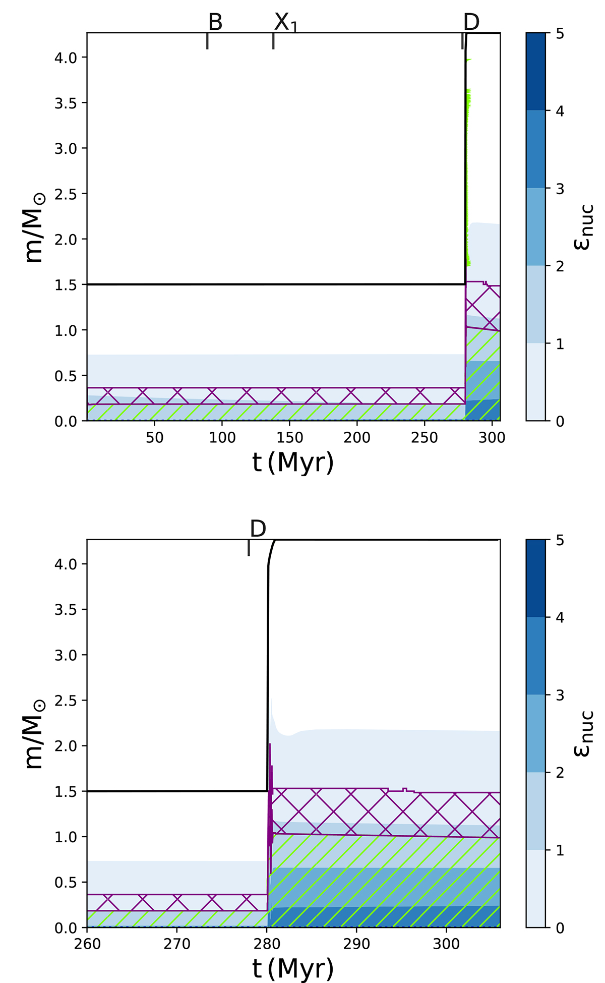
Kippenhahn diagrams showing the internal structure of the gainer star with an initial mass of Mi, g = 1.50 M⊙. The evolution stops when the donor star reaches core helium depletion, XHe, c < 0.2. The x-axis gives the age after ignition of hydrogen in units of Myr. The different layers are characterized by their M/M⊙ values. Shown are the convection mixing (hatched green), semi-convection mixing (red), overshooting mixing (crosshatched purple), thermohaline mixing (hatched gold), and the surface of the star (solid black line).
Current usage metrics show cumulative count of Article Views (full-text article views including HTML views, PDF and ePub downloads, according to the available data) and Abstracts Views on Vision4Press platform.
Data correspond to usage on the plateform after 2015. The current usage metrics is available 48-96 hours after online publication and is updated daily on week days.
Initial download of the metrics may take a while.