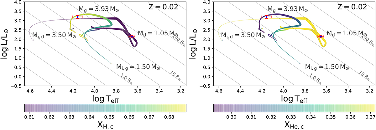
Fig. 8.

Download original image
Hertzsprung-Russell diagrams of the binary evolution. The color bar shows the central hydrogen and helium mass fraction for both components until the hydrogen depletion, 1H. This shows that the gainer star rejuvenates before losing most of its size slowly over its lifetime, whereas the donor star suffers a rapid exhaustion of helium during the mass transfer phase.
Current usage metrics show cumulative count of Article Views (full-text article views including HTML views, PDF and ePub downloads, according to the available data) and Abstracts Views on Vision4Press platform.
Data correspond to usage on the plateform after 2015. The current usage metrics is available 48-96 hours after online publication and is updated daily on week days.
Initial download of the metrics may take a while.