Fig. 9.

Download original image
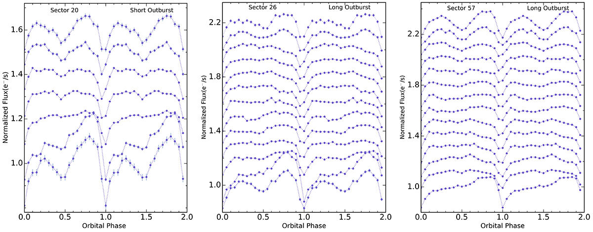
Orbital-phase-folded light curves of V416 Dra obtained using the five successive segmented orbital cycles of the short and long outburst phases of sectors (from left to right) 20, 26, and 57, which are plotted in order of increasing time from the bottom up. For improved visibility, each successive light curve is vertically shifted by increments of 0.1 of the normalised flux.
Current usage metrics show cumulative count of Article Views (full-text article views including HTML views, PDF and ePub downloads, according to the available data) and Abstracts Views on Vision4Press platform.
Data correspond to usage on the plateform after 2015. The current usage metrics is available 48-96 hours after online publication and is updated daily on week days.
Initial download of the metrics may take a while.