Open Access
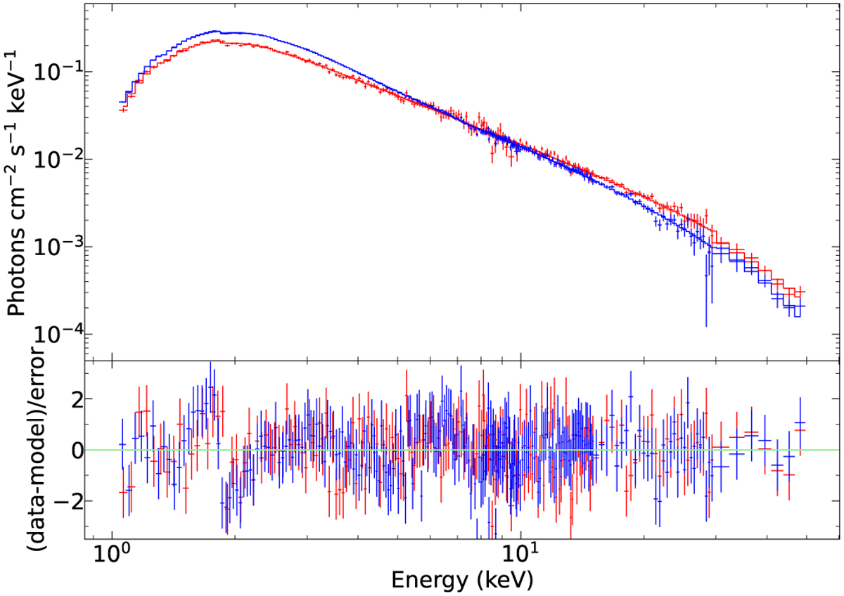
Fig. 4

Download original image
Persistent spectra before each of the two bursts at similar persistent bolometric flux level but different outburst phases. The spectrum in the rising phase is shown in red, while the fading phase is shown in blue. The detailed parameters are presented in Table 1.
Current usage metrics show cumulative count of Article Views (full-text article views including HTML views, PDF and ePub downloads, according to the available data) and Abstracts Views on Vision4Press platform.
Data correspond to usage on the plateform after 2015. The current usage metrics is available 48-96 hours after online publication and is updated daily on week days.
Initial download of the metrics may take a while.