Open Access
Fig. 3

Download original image
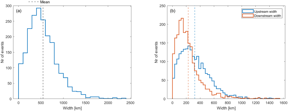
Histograms of bow shock width. Panel a shows the width of the whole bow shock region, and panel b shows the width of the upstream and downstream regions. The mean of the total width is 546 km, the upstream mean is 321 km, and the downstream mean is 227 km.
Current usage metrics show cumulative count of Article Views (full-text article views including HTML views, PDF and ePub downloads, according to the available data) and Abstracts Views on Vision4Press platform.
Data correspond to usage on the plateform after 2015. The current usage metrics is available 48-96 hours after online publication and is updated daily on week days.
Initial download of the metrics may take a while.