Fig. 4.

Download original image
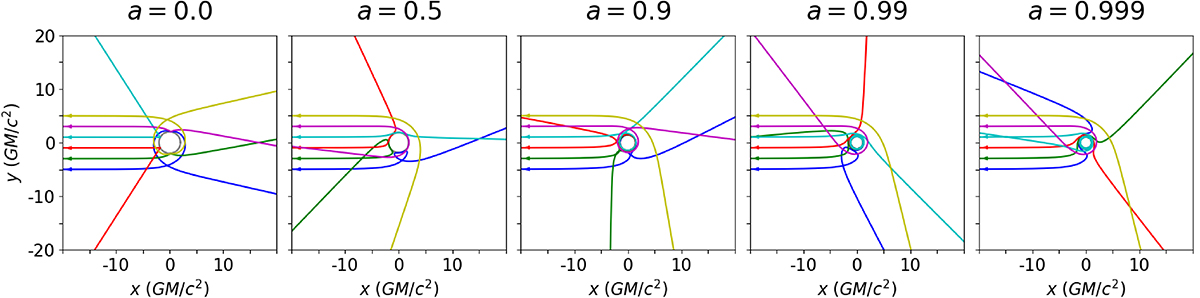
Null geodesics in the equatorial plane of rotating reflecting surfaces of different spin a and with surface radius R = 1.01 r+, where r+ is the radius an event horizon with the corresponding spin would have had. The impact parameter b ranges from −5 to 5 GM/c2. The solid grey line indicates the surface and effectively coincides with the location where the event horizon would have been because of the high spin.
Current usage metrics show cumulative count of Article Views (full-text article views including HTML views, PDF and ePub downloads, according to the available data) and Abstracts Views on Vision4Press platform.
Data correspond to usage on the plateform after 2015. The current usage metrics is available 48-96 hours after online publication and is updated daily on week days.
Initial download of the metrics may take a while.