Press Release
Open Access

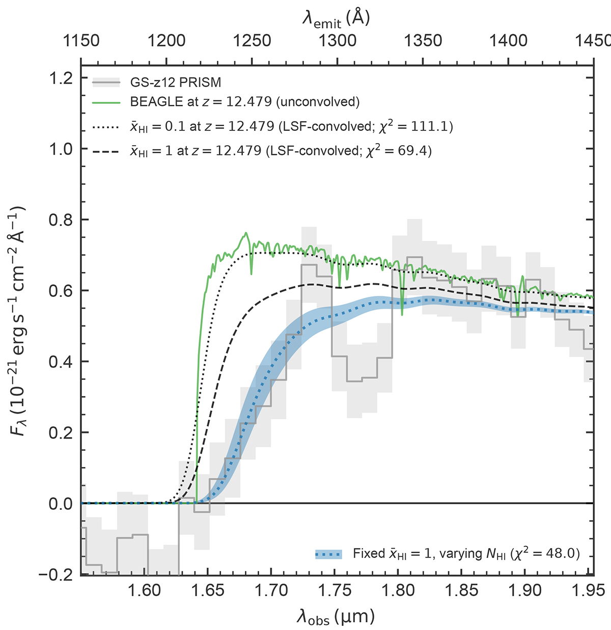
Fig. 3.

image

Download original image

Fiducial (maximum-a-posteriori) BEAGLE spectrum (green) and data (grey) around the Lyα transition. The dashed black line shows the effect of convolving the model spectrum with the prism LSF. The best-fit absorption profiles combining IGM and DLA absorption are shown by the dotted blue line and blue shading, assuming a fixed IGM neutral hydrogen fraction x ¯ H I = 1 $ \bar{x}_{{\mathrm{H}{\textsc{i}}}} = 1 $. We tested a model with varying x ¯ H I $ \bar{x}_{{\mathrm{H}{\textsc{i}}}} $, but this parameter is not well constrained, mainly because significant additional absorption is required to reconcile the profiles with the observed spectral break even with maximum IGM absorption ( x ¯ H I = 1 $ \bar{x}_{{\mathrm{H}{\textsc{i}}}} = 1 $; see text for details).

Current usage metrics show cumulative count of Article Views (full-text article views including HTML views, PDF and ePub downloads, according to the available data) and Abstracts Views on Vision4Press platform.

Data correspond to usage on the plateform after 2015. The current usage metrics is available 48-96 hours after online publication and is updated daily on week days.

Initial download of the metrics may take a while.