Fig. 2

Download original image
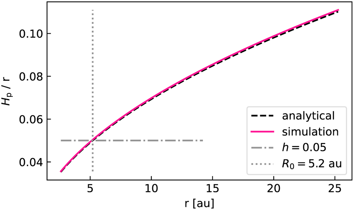
Aspect ratio (i.e., pressure scaleheight scaled with radius) h(r) = Hp(r)/r of our initial set-up. The black dashed line is the analytical calculation according to Eq. (5), the pink solid line shows the Gaussian fit from the initial set-up in our simulation. Gray dotted and dashed lines indicate the reference radius R0 = 5.2 au and the corresponding reference aspect ratio h0 = 0.05, respectively.
Current usage metrics show cumulative count of Article Views (full-text article views including HTML views, PDF and ePub downloads, according to the available data) and Abstracts Views on Vision4Press platform.
Data correspond to usage on the plateform after 2015. The current usage metrics is available 48-96 hours after online publication and is updated daily on week days.
Initial download of the metrics may take a while.