Open Access
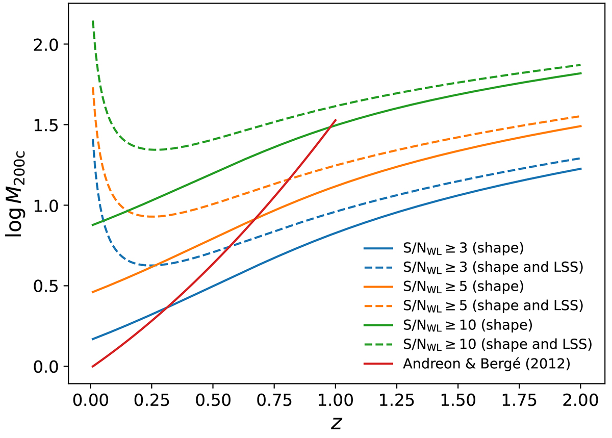
Fig. 8.

Download original image
Expected mass thresholds for WL mass precision with Euclid as a function of redshift. For each redshift, we plot the minimum mass for which the mean (S/N)WL is expected to exceed a threshold in the reference cosmology. For comparison, we also show the result from Andreon & Bergé (2012) for a different (S/N)WL definition.
Current usage metrics show cumulative count of Article Views (full-text article views including HTML views, PDF and ePub downloads, according to the available data) and Abstracts Views on Vision4Press platform.
Data correspond to usage on the plateform after 2015. The current usage metrics is available 48-96 hours after online publication and is updated daily on week days.
Initial download of the metrics may take a while.