Open Access
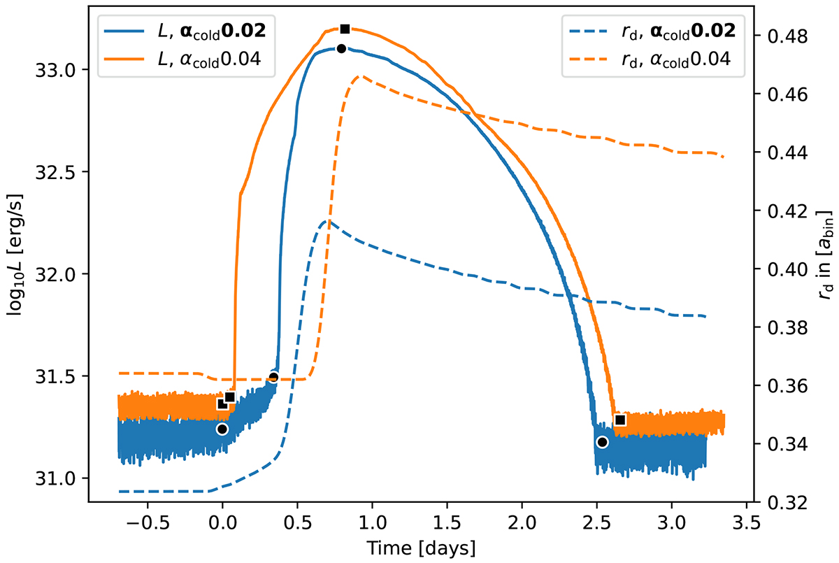
Fig. 8.

Download original image
Luminosity and disk radius evolution during a normal, outside-in outburst of our fiducial model (αcold = 0.02) and an inside-out outburst of our αcold = 0.04 model. Squares and dots indicate what we define as the start of the outburst, the start of the heating wave, the peak, and the end of the outburst.
Current usage metrics show cumulative count of Article Views (full-text article views including HTML views, PDF and ePub downloads, according to the available data) and Abstracts Views on Vision4Press platform.
Data correspond to usage on the plateform after 2015. The current usage metrics is available 48-96 hours after online publication and is updated daily on week days.
Initial download of the metrics may take a while.