Open Access
Fig. 2.

Download original image
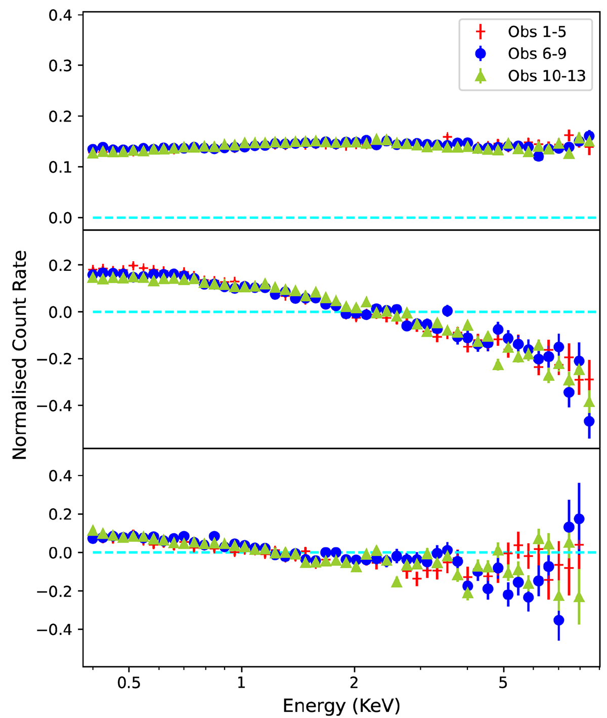
First three significant PCs of Ark 564 in different epochs: Obs 1–5 (red cross symbol), Obs 6–9 (blue circle), and Obs 10-13 (green triangle). The variability percentage of the three components is 88%–6%–1% for the Obs 1–5, 94%–3%–1% for the Obs 6–9, and 92%–3%–1% for the Obs 10–13, respectively.
Current usage metrics show cumulative count of Article Views (full-text article views including HTML views, PDF and ePub downloads, according to the available data) and Abstracts Views on Vision4Press platform.
Data correspond to usage on the plateform after 2015. The current usage metrics is available 48-96 hours after online publication and is updated daily on week days.
Initial download of the metrics may take a while.