Open Access
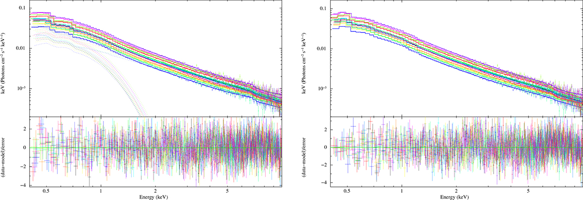
Fig. 4.

Download original image
Fitting results with the warm corona model (left) and the reflection model (right) for the XMM-Newton observations of Ark 564. We show the fitted spectra and the individual model components (main panel), and the residuals in terms of sigmas (sub panel).
Current usage metrics show cumulative count of Article Views (full-text article views including HTML views, PDF and ePub downloads, according to the available data) and Abstracts Views on Vision4Press platform.
Data correspond to usage on the plateform after 2015. The current usage metrics is available 48-96 hours after online publication and is updated daily on week days.
Initial download of the metrics may take a while.