Open Access
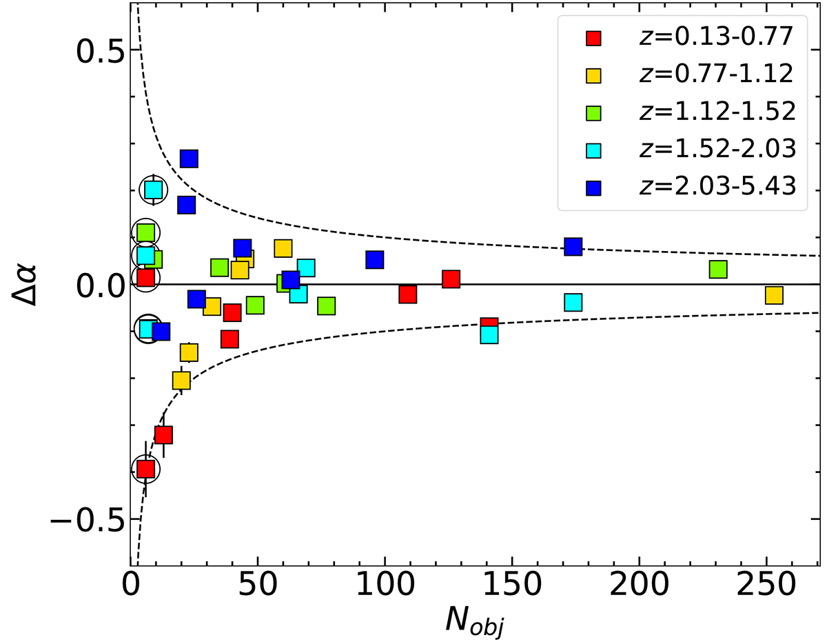
Fig. 8.

Download original image
Values of Δα (Δα = 1 − αbin/αFS) in the bins of our parameter space as a function of the objects in each bin. Bins not meeting the representativeness criterion are marked with a circle. The dashed lines define the envelope characterising the standard error on the average slope assuming a standard deviation σα = 1.
Current usage metrics show cumulative count of Article Views (full-text article views including HTML views, PDF and ePub downloads, according to the available data) and Abstracts Views on Vision4Press platform.
Data correspond to usage on the plateform after 2015. The current usage metrics is available 48-96 hours after online publication and is updated daily on week days.
Initial download of the metrics may take a while.