Open Access

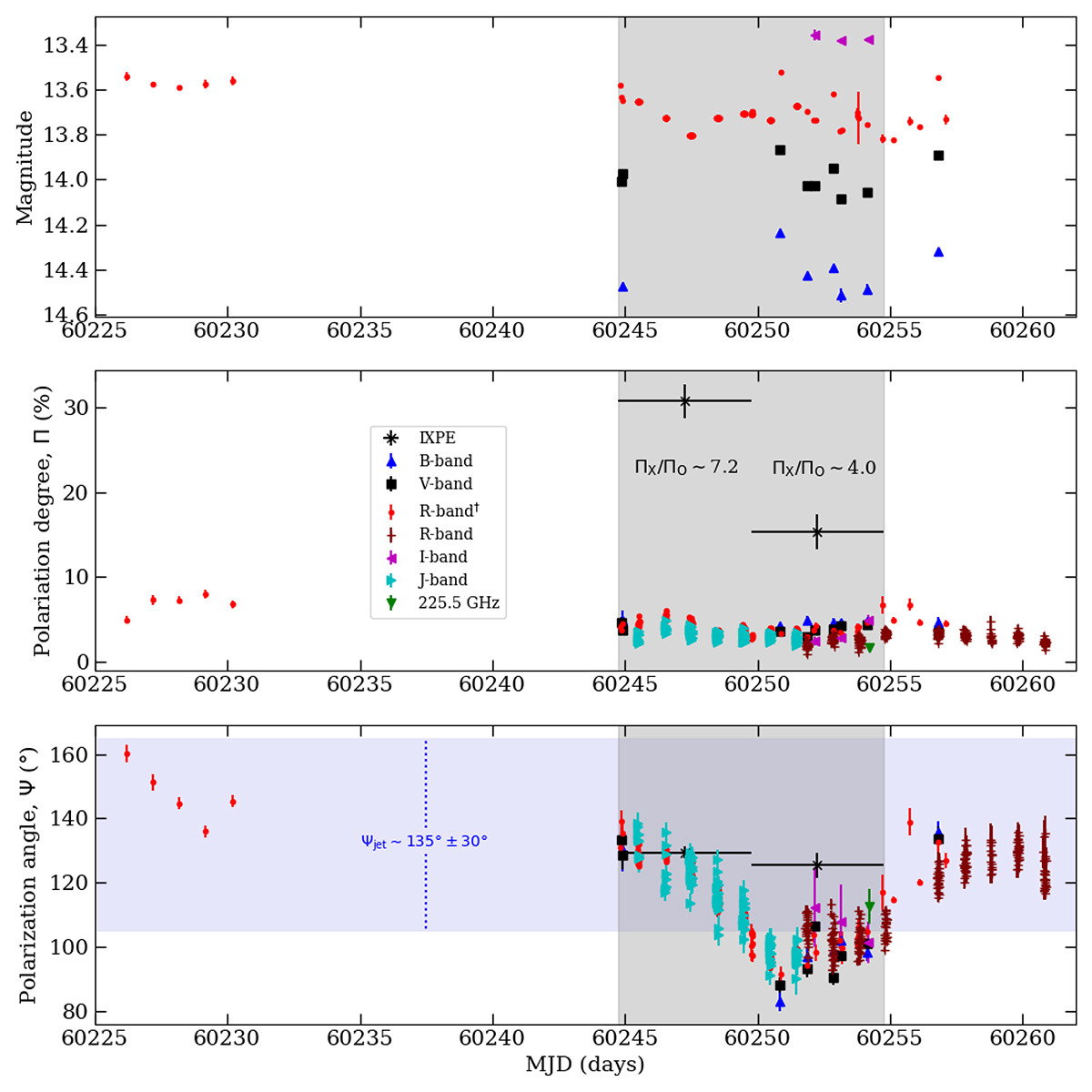
Fig. 4.

image

Download original image

IXPE and contemporaneous multiwavelength polarization of PKS 2155−304. Panels from top to bottom are optical brightness, multiwavelength polarization degree, and multiwavelength polarization angle. The vertical gray shaded area demarcates the duration of the IXPE observation. Horizontal lavender shaded area in the bottom panel denotes the approximate position angle of the extended (> 1.5 pc) VLBI jet (see Sect. 1). The symbol refers to host-galaxy-corrected values. To calculate ΠXO, we used the average host-galaxy-corrected ΠO in each of the two IXPE time bins.

Current usage metrics show cumulative count of Article Views (full-text article views including HTML views, PDF and ePub downloads, according to the available data) and Abstracts Views on Vision4Press platform.

Data correspond to usage on the plateform after 2015. The current usage metrics is available 48-96 hours after online publication and is updated daily on week days.

Initial download of the metrics may take a while.